Open Access
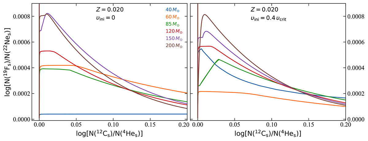
Fig. 4.
 
      Download original image
Evolution of the surface abundances of the number ratio 19F to 22Ne as a function of the number ratio 12C to 4He for different initial mass stars at super-solar metallicity. The left panel shows the results from non-rotating models, while the right panel shows the results of moderately rotating models.
Current usage metrics show cumulative count of Article Views (full-text article views including HTML views, PDF and ePub downloads, according to the available data) and Abstracts Views on Vision4Press platform.
Data correspond to usage on the plateform after 2015. The current usage metrics is available 48-96 hours after online publication and is updated daily on week days.
Initial download of the metrics may take a while.
