Open Access

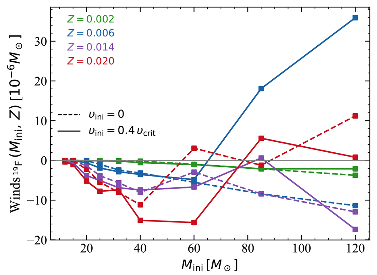
Fig. 6.

image

Download original image

Wind stellar yields of 19F in units of 10−6 M for non-rotating (dashed curves) and moderately rotating models (solid curves) at various metallicities as a function of the initial mass of the models.

Current usage metrics show cumulative count of Article Views (full-text article views including HTML views, PDF and ePub downloads, according to the available data) and Abstracts Views on Vision4Press platform.

Data correspond to usage on the plateform after 2015. The current usage metrics is available 48-96 hours after online publication and is updated daily on week days.

Initial download of the metrics may take a while.