Open Access

Fig. 9.

image

Download original image

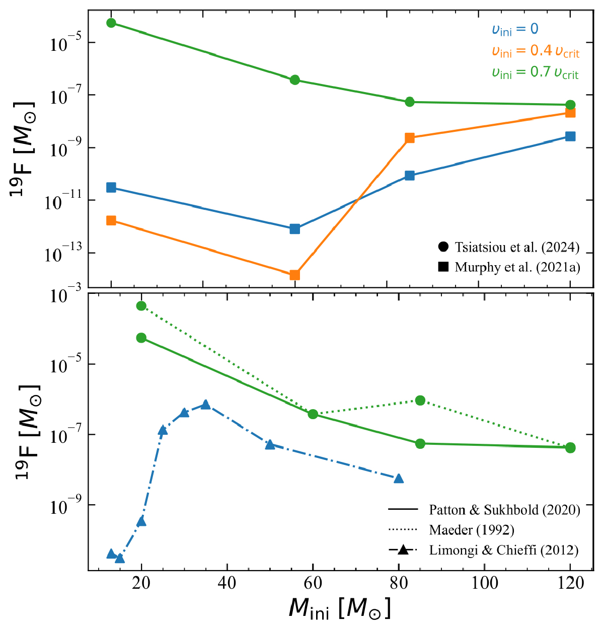
Stellar yields of fluorine of Pop III models. Upper panel: Models at fast (green curves), moderate (orange curves), and zero (blue curves) rotation, with the stellar yields being calculated from Patton & Sukhbold (2020). Bottom panel: Models at fast and zero rotation. The solid curve is from Patton & Sukhbold (2020), dotted curve is from Maeder (1992), and dashed-dotted curve is by Limongi & Chieffi (2012).

Current usage metrics show cumulative count of Article Views (full-text article views including HTML views, PDF and ePub downloads, according to the available data) and Abstracts Views on Vision4Press platform.

Data correspond to usage on the plateform after 2015. The current usage metrics is available 48-96 hours after online publication and is updated daily on week days.

Initial download of the metrics may take a while.