Open Access

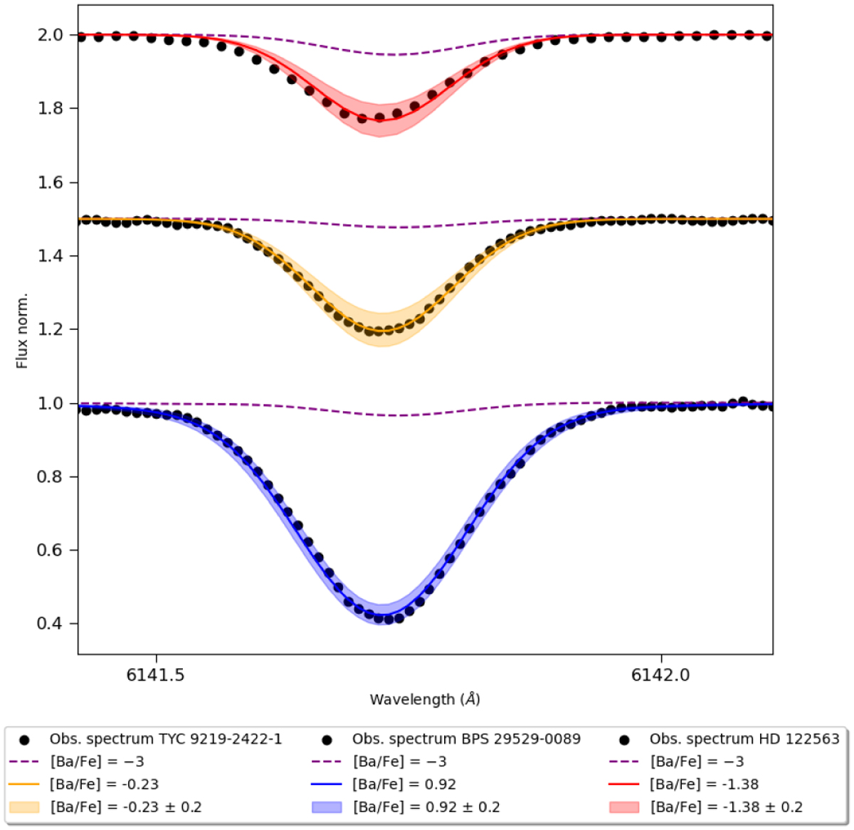
Fig. D.2

image

Download original image

Ba line in 6141 Å for BPS CS 29529-0089, TYC 9219-24221 and HD 122563 with fit abundance and ±0.2 dex. Fluxes are offset by 0.5. BPS CS 29529-0089 is shown in blue, TYC 9219-2422-1 in orange and HD 122563 in red.

Current usage metrics show cumulative count of Article Views (full-text article views including HTML views, PDF and ePub downloads, according to the available data) and Abstracts Views on Vision4Press platform.

Data correspond to usage on the plateform after 2015. The current usage metrics is available 48-96 hours after online publication and is updated daily on week days.

Initial download of the metrics may take a while.