Open Access

Fig. 5.

image

Download original image

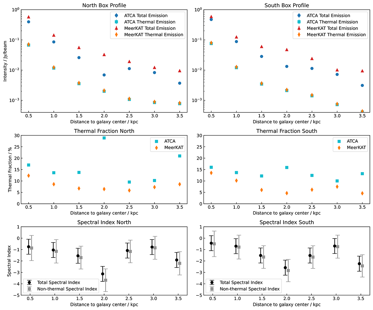
Upper panel: Box-integrated radio continuum profiles of NGC 3125, separated into northern (left) and southern (right) sections, showing the total and thermal emission at 1.28 GHz (MeerKAT) and 2.1 GHz (ATCA). Middle panel: Thermal fraction profiles of NGC 3125 for the northern (left) and southern (right) sections. Bottom panel: Comparison of non-thermal and total spectral indices for the northern (left) and southern (right) sections of NGC 3125. Spectral index data points on the x-axis are slightly offset to improve differentiation between close values.

Current usage metrics show cumulative count of Article Views (full-text article views including HTML views, PDF and ePub downloads, according to the available data) and Abstracts Views on Vision4Press platform.

Data correspond to usage on the plateform after 2015. The current usage metrics is available 48-96 hours after online publication and is updated daily on week days.

Initial download of the metrics may take a while.