Open Access

Fig. 14

image

Download original image

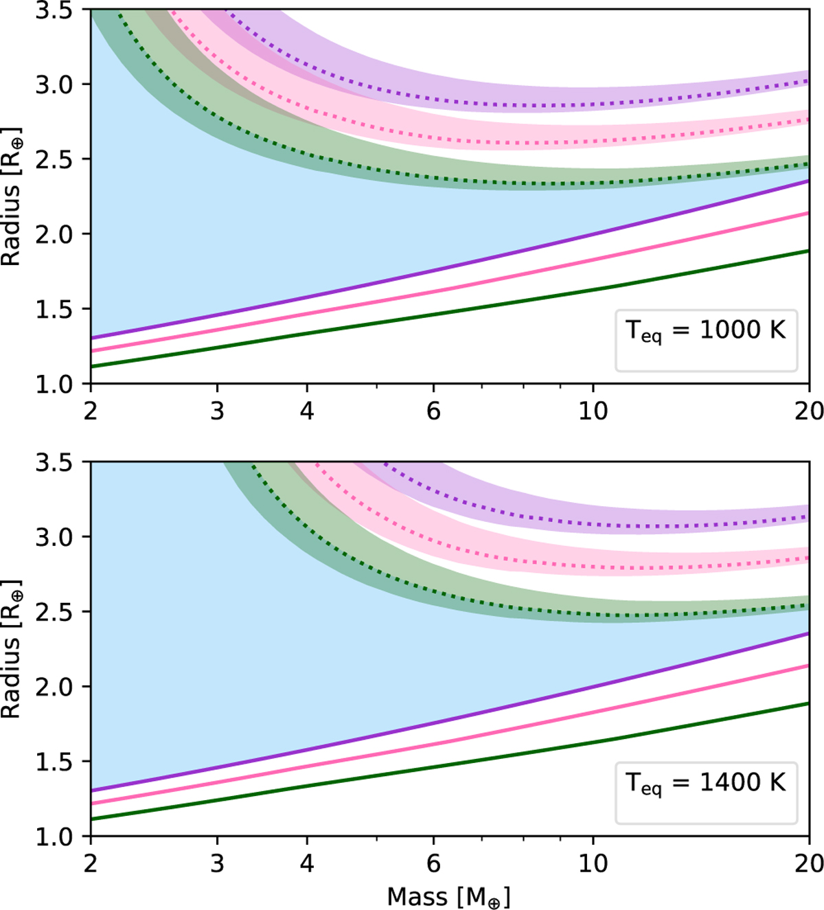
Influence of choosing different values for the intrinsic luminosity of the planet on the upper boundary of the Hot Water World triangles, for a planetary equilibrium temperature of 1000 K (top, similar to the conditions of TOI-1685 b) and 1400 K (bottom, similar to the conditions of TOI-238 b). The dotted lines show the mass–radius models generated using a value of 1021 erg/s, while the shaded regions visualise the influence of choosing a lower (1020 erg/s for the lower boundary) or higher value (1022 erg/s for the upper boundary). The remaining line styles and colours are the same as in Figure 1.

Current usage metrics show cumulative count of Article Views (full-text article views including HTML views, PDF and ePub downloads, according to the available data) and Abstracts Views on Vision4Press platform.

Data correspond to usage on the plateform after 2015. The current usage metrics is available 48-96 hours after online publication and is updated daily on week days.

Initial download of the metrics may take a while.