Open Access

Fig. 2

image

Download original image

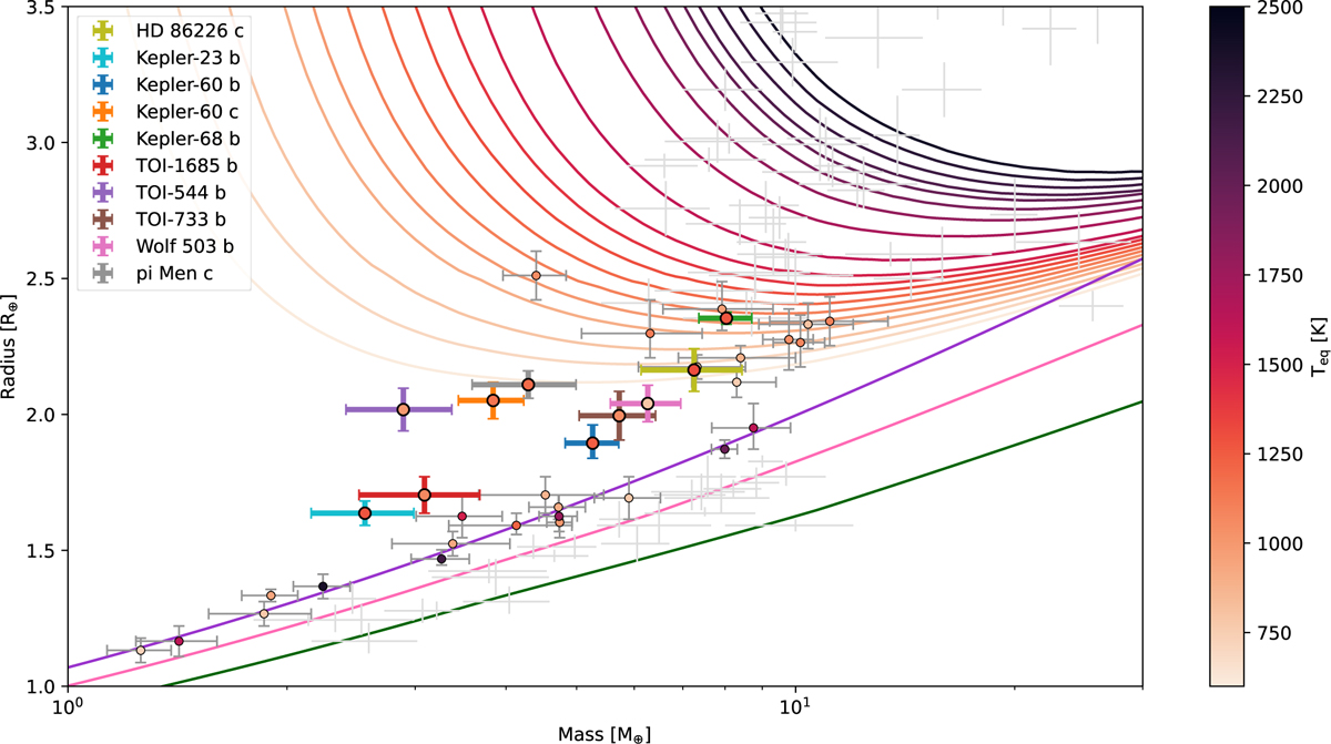
Currently known exoplanets falling inside the Hot Water World triangles. Shown are confirmed planets listed in the PlanetS exoplanet catalogue (Parc et al. 2024; Otegi et al. 2020), with a precision in mass of at least 20% and at least 5% in radius, with equilibrium temperatures of more than 600 K. The depicted mass–radius curves for bare cores are the same as in Figure 1, while the ones for planets with a Mercury-like core and a 1% H/He envelope are colour-coded according to the assumed equilibrium temperature, reaching from 600 up to 2500 K. Planets that fully or partially lie within the Hot Water World triangle corresponding to their equilibrium temperatures are colour-coded according to their equilibrium temperatures, while planets that within two sigma lie fully inside the triangle are additionally marked with bold, colourful error bars. These are HD 86226 c (Teske et al. 2020), Kepler-23 b (Leleu et al. 2023), Kepler-60 b and c (Leleu et al. 2023), Kepler-68 b (Bonomo et al. 2023), TOI-1685 b (Luque & Pallé 2022), TOI-544 b (Osborne et al. 2024), TOI-733 b (Georgieva et al. 2023), Wolf 503 b (Polanski et al. 2021), and π Men c (Damasso et al. 2020). Planets outside the triangles are marked as grey crosses.

Current usage metrics show cumulative count of Article Views (full-text article views including HTML views, PDF and ePub downloads, according to the available data) and Abstracts Views on Vision4Press platform.

Data correspond to usage on the plateform after 2015. The current usage metrics is available 48-96 hours after online publication and is updated daily on week days.

Initial download of the metrics may take a while.