Open Access

Fig. 7

image

Download original image

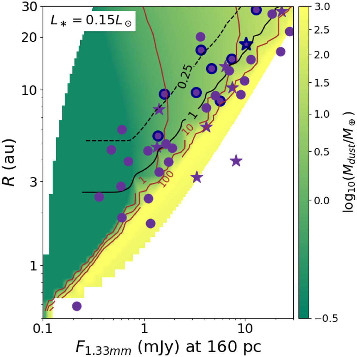
Comparison of the model grid with observed disk radii and total flux (normalized to 160 pc). The image represents the model dust mass on a log scale (also in brown contours), and the black contours show the mean optical depth, τ¯$\[\bar{\tau}\]$, defined in Equation (11), with values of 0.25 and 1. The dark blue edges indicate a visible substructure in this source and a star-shaped marker distinguishes binary disks.

Current usage metrics show cumulative count of Article Views (full-text article views including HTML views, PDF and ePub downloads, according to the available data) and Abstracts Views on Vision4Press platform.

Data correspond to usage on the plateform after 2015. The current usage metrics is available 48-96 hours after online publication and is updated daily on week days.

Initial download of the metrics may take a while.