Open Access

Fig. 8

image

Download original image

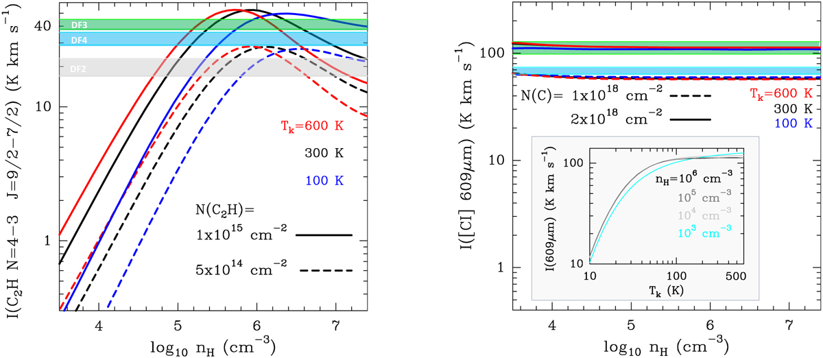
Results from nonlocal and non-LTE radiative transfer models of C2H (left) and [C I] (right) for different values of Tk and nH (singlecomponent models6). The horizontal green, blue, and gray shaded areas show the observed peak intensities and 1σ dispersions.

Current usage metrics show cumulative count of Article Views (full-text article views including HTML views, PDF and ePub downloads, according to the available data) and Abstracts Views on Vision4Press platform.

Data correspond to usage on the plateform after 2015. The current usage metrics is available 48-96 hours after online publication and is updated daily on week days.

Initial download of the metrics may take a while.