Open Access

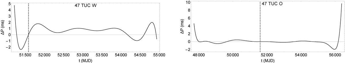
Fig. 3.

image

Download original image

Orbital-period modulations of 47 Tuc W and 47 Tuc O, obtained from the fitting of the observational data (see Table A.1). The vertical dashed line marks the position of T0.

Current usage metrics show cumulative count of Article Views (full-text article views including HTML views, PDF and ePub downloads, according to the available data) and Abstracts Views on Vision4Press platform.

Data correspond to usage on the plateform after 2015. The current usage metrics is available 48-96 hours after online publication and is updated daily on week days.

Initial download of the metrics may take a while.