Open Access

Fig. 6

image

Download original image

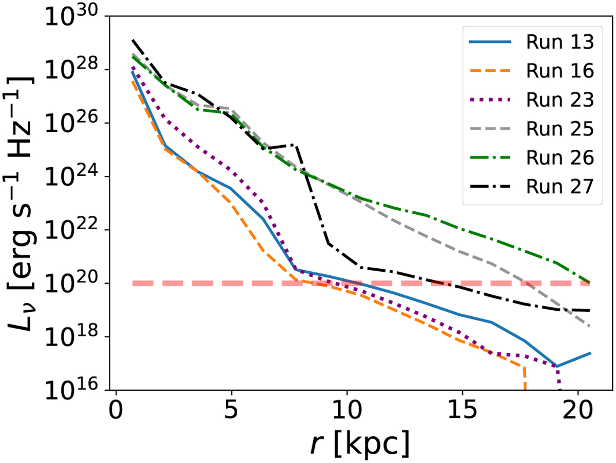
Radial luminosity profiles at λ = 100 µm for run 13 (blue solid), run 16 (orange dashed), run 23 (purple dotted), run 25 (gray dashed), run 26 (green dotted-dashed), and run 27 (black dotted-dashed). The red dashed line marks the lower limit of the colorbar in Figure 5.

Current usage metrics show cumulative count of Article Views (full-text article views including HTML views, PDF and ePub downloads, according to the available data) and Abstracts Views on Vision4Press platform.

Data correspond to usage on the plateform after 2015. The current usage metrics is available 48-96 hours after online publication and is updated daily on week days.

Initial download of the metrics may take a while.