Open Access

Fig. 8

image

Download original image

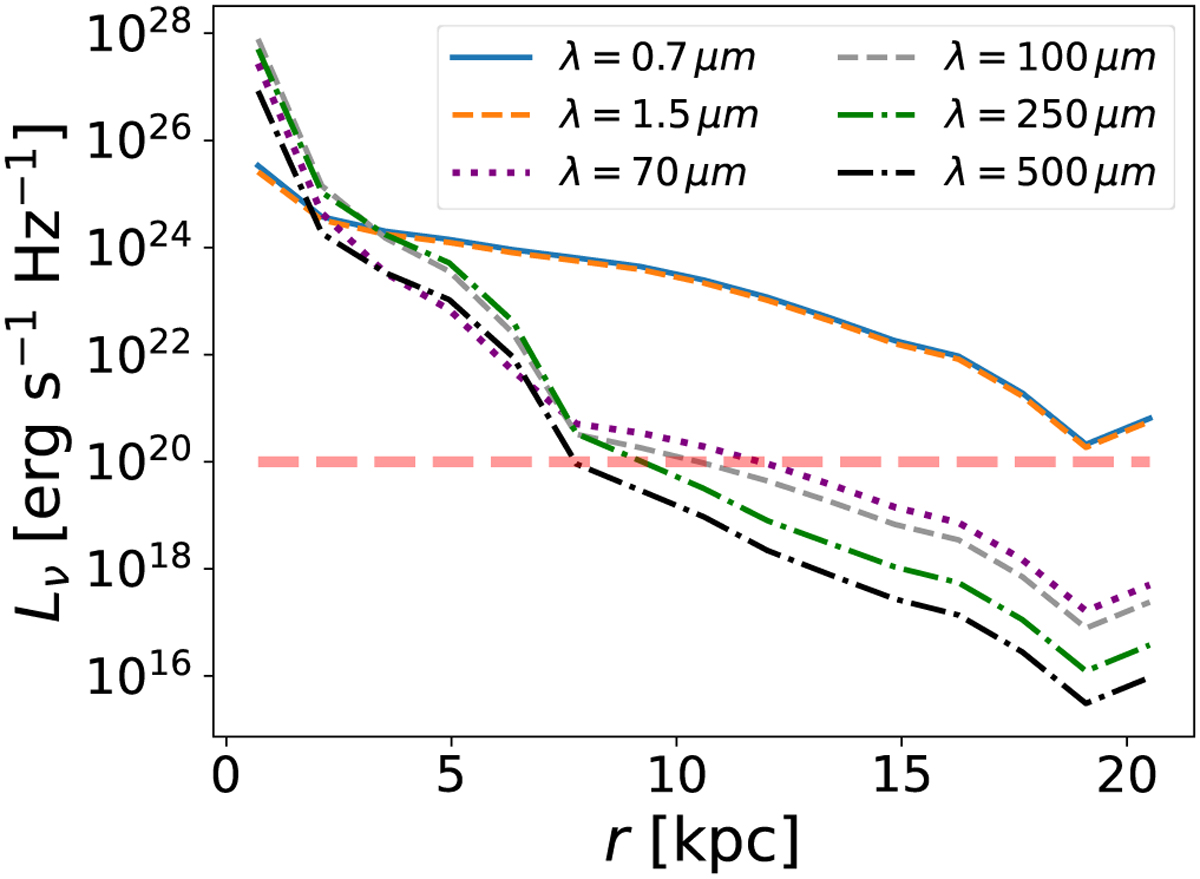
Radial luminosity profiles for run 13 at λ = 8 µm (blue solid), λ = 24 µm (orange dashed), λ = 70 µm (purple dotted), λ = 100 µm (gray dashed), λ = 250 µm (green dotted-dashed), and λ = 500 µm (black dotted-dashed), obtained from the dust continuum luminosity maps shown in Figure 6. The red dashed line marks the lower limit of the colorbar in Figure 7.

Current usage metrics show cumulative count of Article Views (full-text article views including HTML views, PDF and ePub downloads, according to the available data) and Abstracts Views on Vision4Press platform.

Data correspond to usage on the plateform after 2015. The current usage metrics is available 48-96 hours after online publication and is updated daily on week days.

Initial download of the metrics may take a while.