Open Access

Fig. 5

image

Download original image

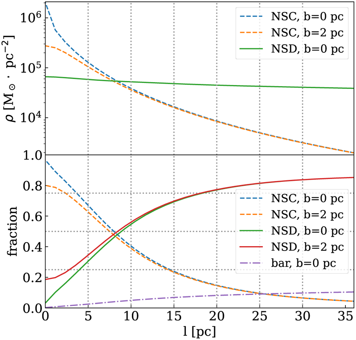
Stellar surface density profile in the GC. Top panel: NSC profile from Chatzopoulos et al. (2015), NSD profile from Sormani et al. (2022) as a function of l. Bottom panel: fraction of the NSC and NSD density profiles, if the bar density profile is constant, and set to 20% of the NSD density profile at l = 35 pc and b = 0 pc.

Current usage metrics show cumulative count of Article Views (full-text article views including HTML views, PDF and ePub downloads, according to the available data) and Abstracts Views on Vision4Press platform.

Data correspond to usage on the plateform after 2015. The current usage metrics is available 48-96 hours after online publication and is updated daily on week days.

Initial download of the metrics may take a while.