Open Access

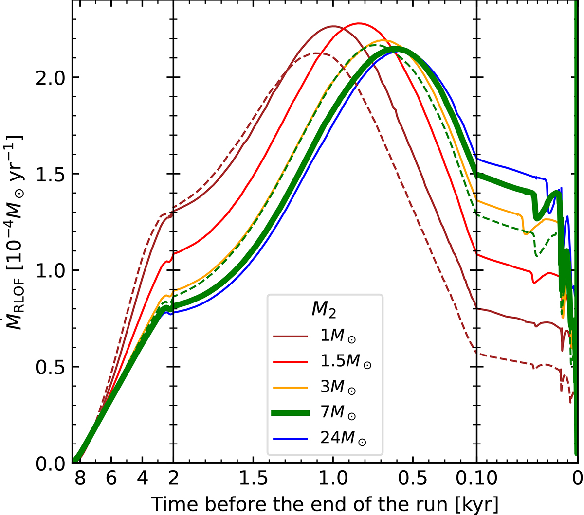
Fig. A.2.

image

Download original image

Mass transfer rate before the end of the run for model B13.5p6.31 (green, thick line) with different secondary masses (see legend). For solid lines indicate the models where mass transfer is assumed inefficient, while the dashed ones assume an accretion efficiency of unity.

Current usage metrics show cumulative count of Article Views (full-text article views including HTML views, PDF and ePub downloads, according to the available data) and Abstracts Views on Vision4Press platform.

Data correspond to usage on the plateform after 2015. The current usage metrics is available 48-96 hours after online publication and is updated daily on week days.

Initial download of the metrics may take a while.