Open Access

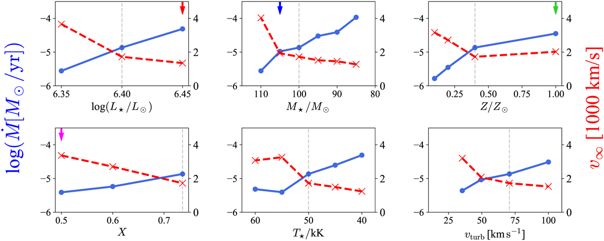
Fig. 1

image

Download original image

Predicted mass-loss rates (blue) and terminal velocities (red) from hydrodynamic atmosphere models. The six sub-plots illustrate the effect of individually varying L, M, Z, X, T, and vturb relative to the ‘base model’. The ‘base model’ is indicated by a grey dashed line. A select few models from this grid (marked with coloured arrows) are further investigated in terms of their radiative acceleration and temperature stratification in Fig. 2.

Current usage metrics show cumulative count of Article Views (full-text article views including HTML views, PDF and ePub downloads, according to the available data) and Abstracts Views on Vision4Press platform.

Data correspond to usage on the plateform after 2015. The current usage metrics is available 48-96 hours after online publication and is updated daily on week days.

Initial download of the metrics may take a while.