Open Access

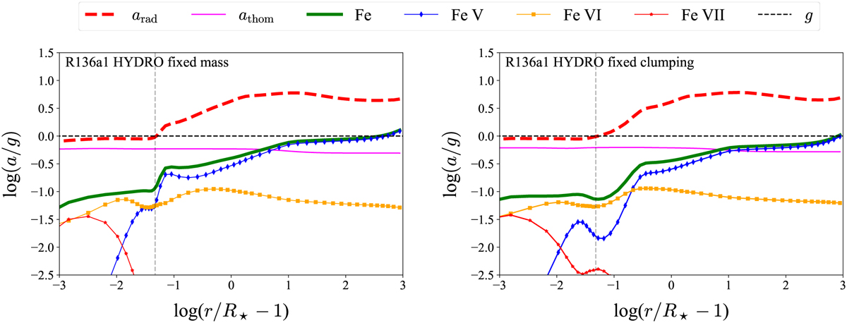
Fig. 12

image

Download original image

Radiative acceleration stratification of the best-fit hydrodynamic R136a1 models where the mass is fixed to the homogeneous mass (left sub-panel) and where the clumping stratification is fixed to occur outside the critical point (right sub-panel). The individual contributions from lead ions of iron (Fe V, Fe VI, and Fe VII) are shown, along with the total radiative acceleration from iron (green solid line). The total radiative acceleration from all lines and continuum processes is represented by the red dashed line, while the contribution from electron scattering alone is shown in magenta. All accelerations are normalised to gravity (black dashed horizontal line). The critical points of the two models are indicated by gray dashed vertical lines.

Current usage metrics show cumulative count of Article Views (full-text article views including HTML views, PDF and ePub downloads, according to the available data) and Abstracts Views on Vision4Press platform.

Data correspond to usage on the plateform after 2015. The current usage metrics is available 48-96 hours after online publication and is updated daily on week days.

Initial download of the metrics may take a while.