Open Access

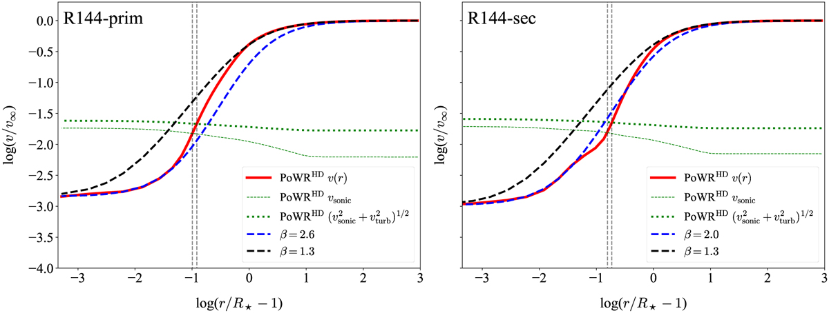
Fig. 8

image

Download original image

Velocity field (red solid curve) predicted by our best-fit R144 primary and secondary hydrodynamic models. The green dashed and dotted curves represent the isothermal sound velocity and the root-mean-square of the sound and turbulent velocities, respectively. The two vertical black dashed lines indicate the sonic and critical points. Additionally, the black and blue dashed lines correspond to β-law velocity profiles with values of β mentioned in the legend.

Current usage metrics show cumulative count of Article Views (full-text article views including HTML views, PDF and ePub downloads, according to the available data) and Abstracts Views on Vision4Press platform.

Data correspond to usage on the plateform after 2015. The current usage metrics is available 48-96 hours after online publication and is updated daily on week days.

Initial download of the metrics may take a while.