Open Access

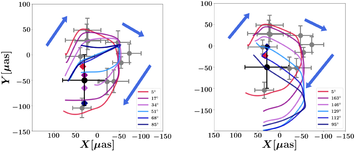
Fig. F.1.

image

Download original image

Best-fit flare model from Fig. 3 for various inclinations (see the legends in the bottom right of each panel) overlapped with the observations of July 22, 2018 (gray circles). The direction of motion is indicated by blue arrows. The black hole position for each inclination is color-coordinated with the corresponding hot spot trajectory and illustrated by a diamond. Left panel: Inclinations between [0°, 90°]. Right panel: Inclinations between [90°, 180°].

Current usage metrics show cumulative count of Article Views (full-text article views including HTML views, PDF and ePub downloads, according to the available data) and Abstracts Views on Vision4Press platform.

Data correspond to usage on the plateform after 2015. The current usage metrics is available 48-96 hours after online publication and is updated daily on week days.

Initial download of the metrics may take a while.