Open Access

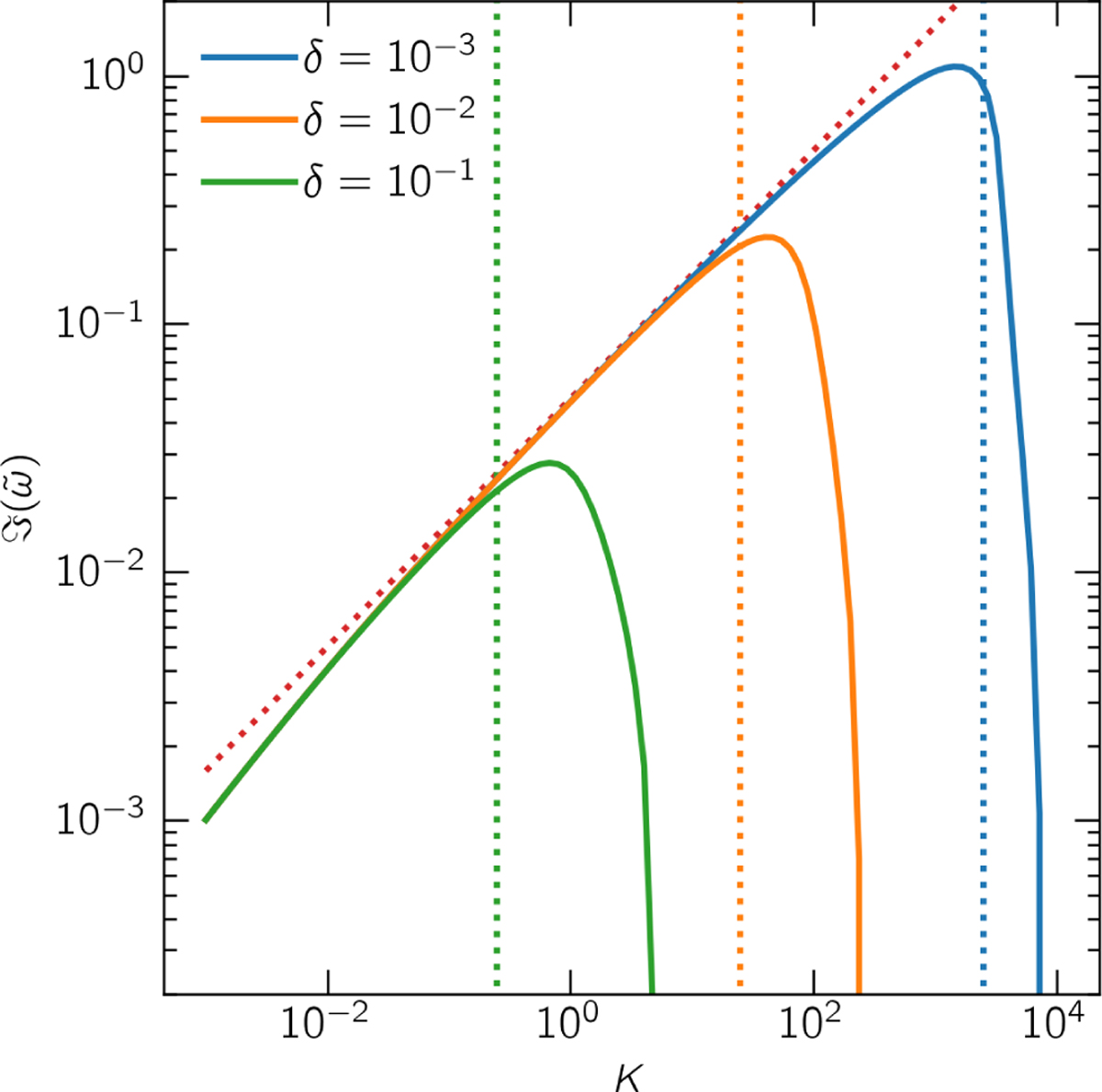
Fig. 2

image

Download original image

Growth rate of the acoustic resonant drag instability as a function of the wave number, which was obtained by numerically solving Eq. (26). The dust-to-gas ratio μ = 0.01, and the size density is constant, centred on the resonant size s = 1, with width δ. The red dotted line indicates the monodisperse result, while the vertical dotted lines indicate the cutoff of Eq. (47).

Current usage metrics show cumulative count of Article Views (full-text article views including HTML views, PDF and ePub downloads, according to the available data) and Abstracts Views on Vision4Press platform.

Data correspond to usage on the plateform after 2015. The current usage metrics is available 48-96 hours after online publication and is updated daily on week days.

Initial download of the metrics may take a while.