Open Access

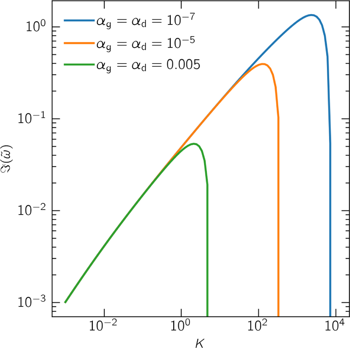
Fig. 6

image

Download original image

Growth rate of the monodisperse acoustic resonant drag instability as a function of the wave number, including gas viscosity and dust diffusion, calculated from the eigenvalues of Eq. (73). The dust-to-gas ratio μ = 0.01.

Current usage metrics show cumulative count of Article Views (full-text article views including HTML views, PDF and ePub downloads, according to the available data) and Abstracts Views on Vision4Press platform.

Data correspond to usage on the plateform after 2015. The current usage metrics is available 48-96 hours after online publication and is updated daily on week days.

Initial download of the metrics may take a while.