Open Access

Fig. 7

image

Download original image

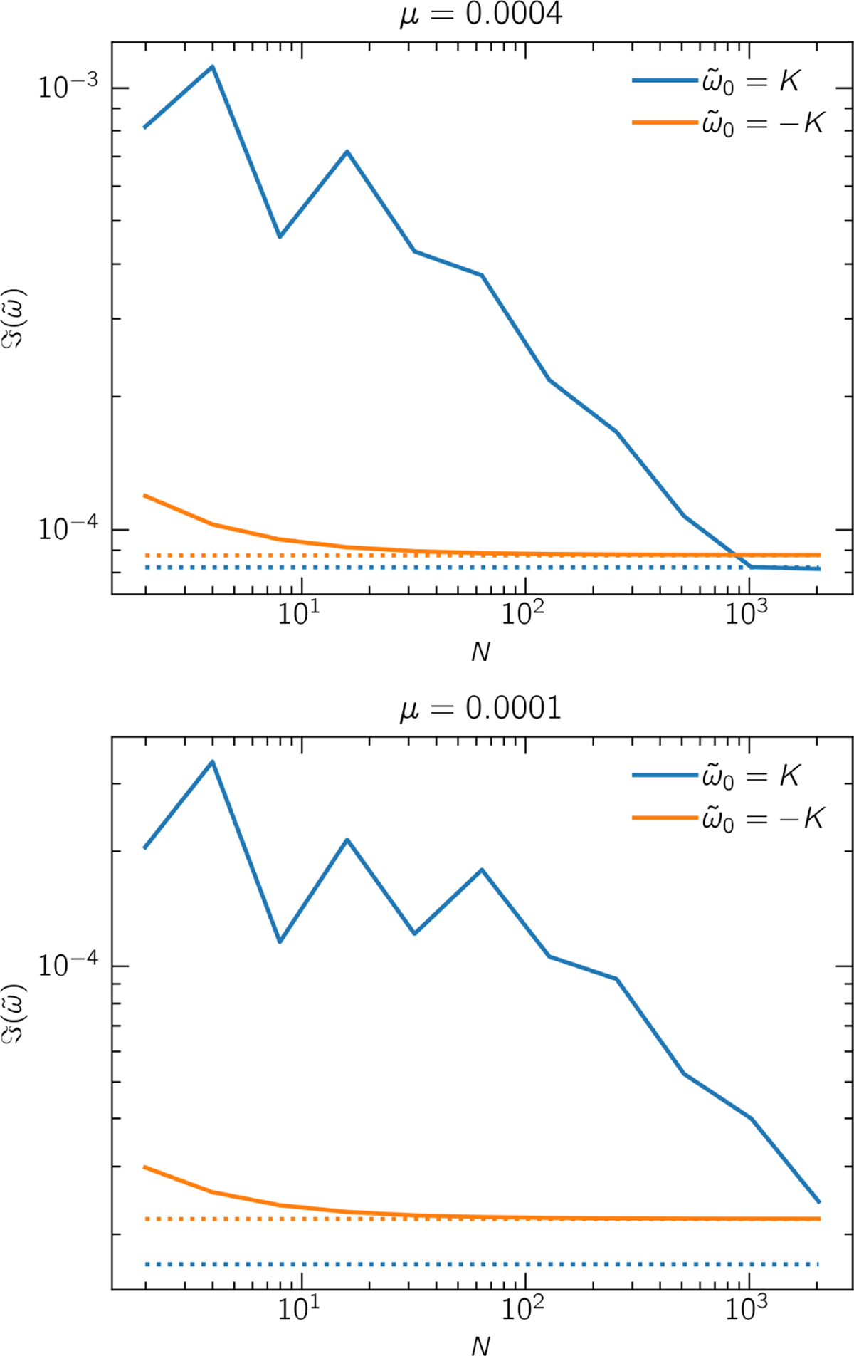
Convergence of the direct method with number of dust species, for a case with smin = 0.5 and smax = 1.2, all at K = 0.1. Top panel: μ = 0.0004, bottom panel: μ = 0.0001. The blue curves indicate a mode with unperturbed frequency 0 = K, which contains the resonance, and the orange curves a non-resonant mode with 0 = −K. The dotted lines indicate the result of Eq. (26).

Current usage metrics show cumulative count of Article Views (full-text article views including HTML views, PDF and ePub downloads, according to the available data) and Abstracts Views on Vision4Press platform.

Data correspond to usage on the plateform after 2015. The current usage metrics is available 48-96 hours after online publication and is updated daily on week days.

Initial download of the metrics may take a while.