Open Access

Fig. 2

image

Download original image

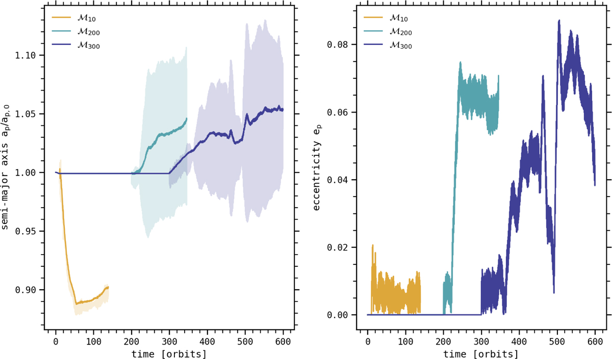
Migration properties at different restart times and therefore for a different gap shape. Left: temporal evolution of the semi-major axis ap (solid lines) and radial position (shaded areas) of the planet. Whatever the initial condition, the planet migration is eventually slow and outward for β0 = 103 once the gap has been carved. Right: temporal evolution of the planet eccentricity ep, initially small (<1.5%) before increasing abruptly (7%) for the cases ℳ200 and ℳ300.

Current usage metrics show cumulative count of Article Views (full-text article views including HTML views, PDF and ePub downloads, according to the available data) and Abstracts Views on Vision4Press platform.

Data correspond to usage on the plateform after 2015. The current usage metrics is available 48-96 hours after online publication and is updated daily on week days.

Initial download of the metrics may take a while.