Open Access

Fig. 5

image

Download original image

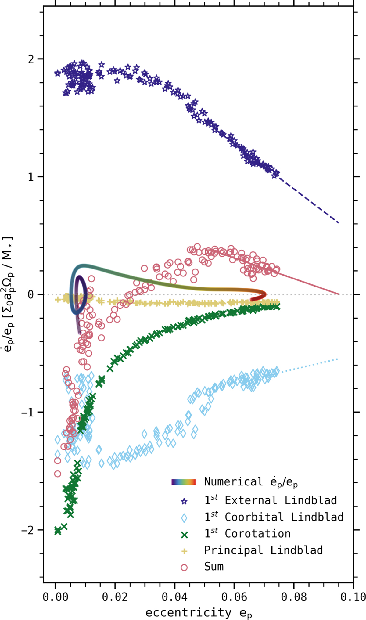
Contribution of various resonances to the eccentricity evolution ėp / ep as a function of ep, for the run 200 and during the episode of ep amplification at t [206–248] orbits. The semi-analytical decomposition focuses on the principal Lindblad resonances (LR0, yellow +), the first-order corotation resonances (CR1, green ×), the first-order coorbital (LR1c, light blue ◊), and external (LR1e, dark blue ★) Lindblad resonances. The sum of all these contributions are represented with red . The rainbow curve represents a numerical measure of ėp/ep between t = 206 orbits (purple color) and t = 248 orbits (red color). Eccentricity growth is a finite-amplitude instability, with a damping of ep when ep < 1% or ep ≳ 7%, and an excitation of ep when ep [1.5% – 7%].

Current usage metrics show cumulative count of Article Views (full-text article views including HTML views, PDF and ePub downloads, according to the available data) and Abstracts Views on Vision4Press platform.

Data correspond to usage on the plateform after 2015. The current usage metrics is available 48-96 hours after online publication and is updated daily on week days.

Initial download of the metrics may take a while.