Open Access

Fig. A.1

image

Download original image

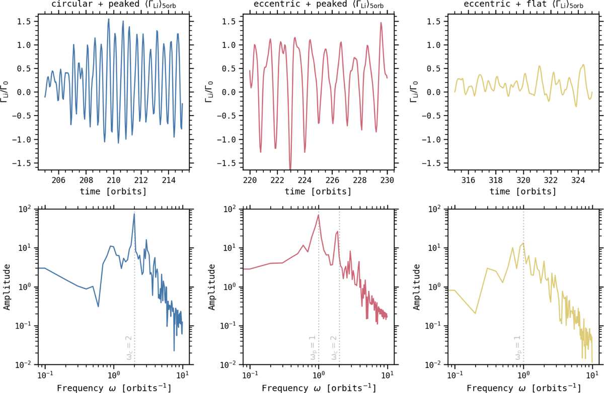
10-orbit temporal evolution (top panels) and power-spectrum (bottom panels) of the instantaneous inner Lindblad torque ΓLi, for three epochs in the run ℳ200 . Left panels: the planet is in a quasi-circular orbit and the 5-orbit averaged torque ⟨ΓLi5orb is peaking in Fig. 4. Middle panels: the planet orbit becomes eccentric and ⟨ΓLi5orb is peaking. Right panels: the planet orbit is eccentric and ⟨ΓLi5orb does not vary. Depending on the epoch, we retrieve two typical frequencies ωp ≃ 1 and ωc ≃ 2 (vertical dotted lines).

Current usage metrics show cumulative count of Article Views (full-text article views including HTML views, PDF and ePub downloads, according to the available data) and Abstracts Views on Vision4Press platform.

Data correspond to usage on the plateform after 2015. The current usage metrics is available 48-96 hours after online publication and is updated daily on week days.

Initial download of the metrics may take a while.