Open Access

Fig. 12

image

Download original image

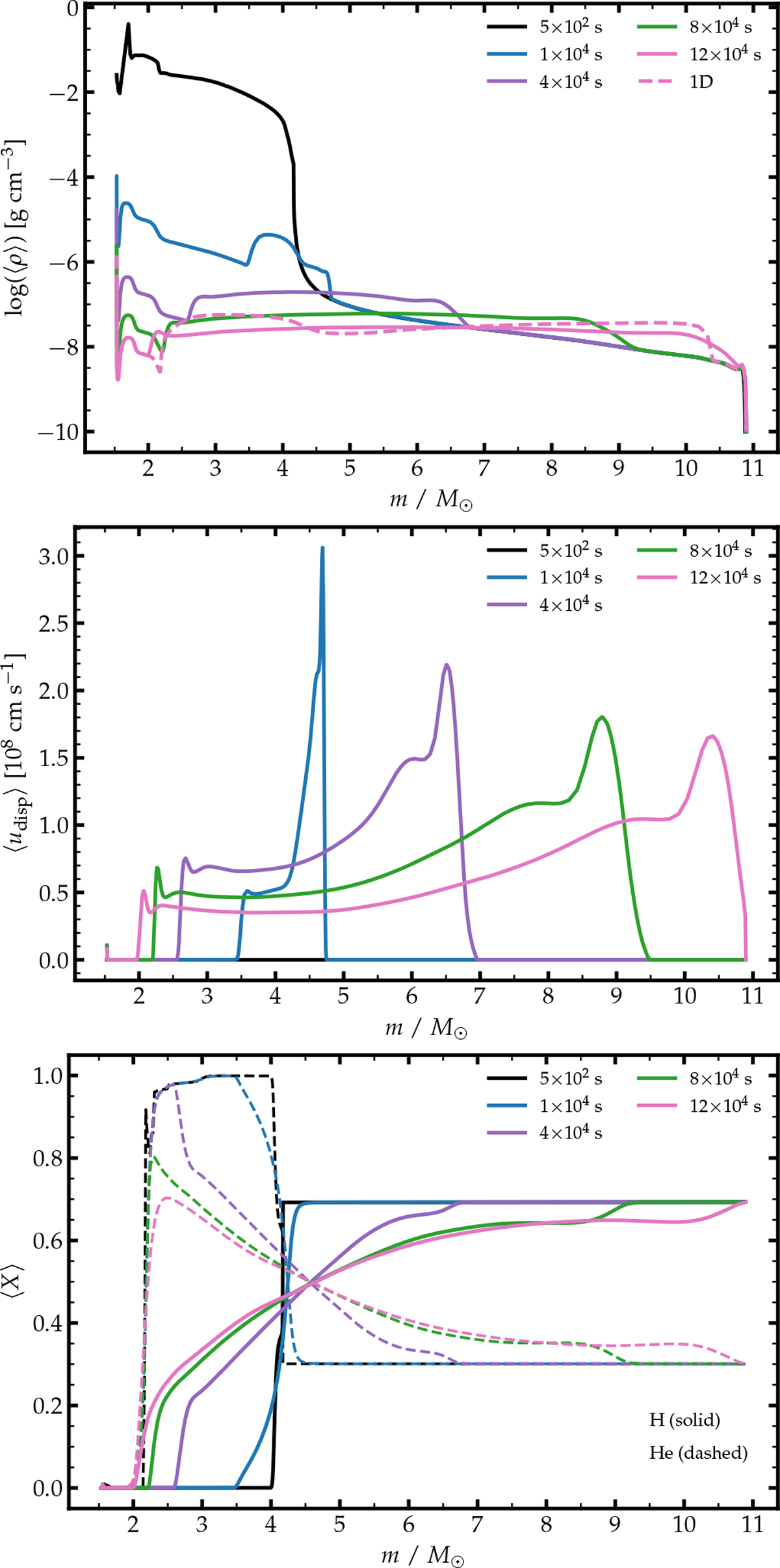
Evolution of the angle-averaged density (top), velocity dispersion (middle), and composition (bottom; the solid [dashed] line corresponds to H [He]) from the initial time until shock emergence and versus Lagrangian mass. We show the same epochs as in Fig. 11. In the top panel, the final density obtained in the 1D counterpart is shown as a dashed line. (See Sect. 5.5.2 for discussion).

Current usage metrics show cumulative count of Article Views (full-text article views including HTML views, PDF and ePub downloads, according to the available data) and Abstracts Views on Vision4Press platform.

Data correspond to usage on the plateform after 2015. The current usage metrics is available 48-96 hours after online publication and is updated daily on week days.

Initial download of the metrics may take a while.