Open Access

Fig. 12.

image

Download original image

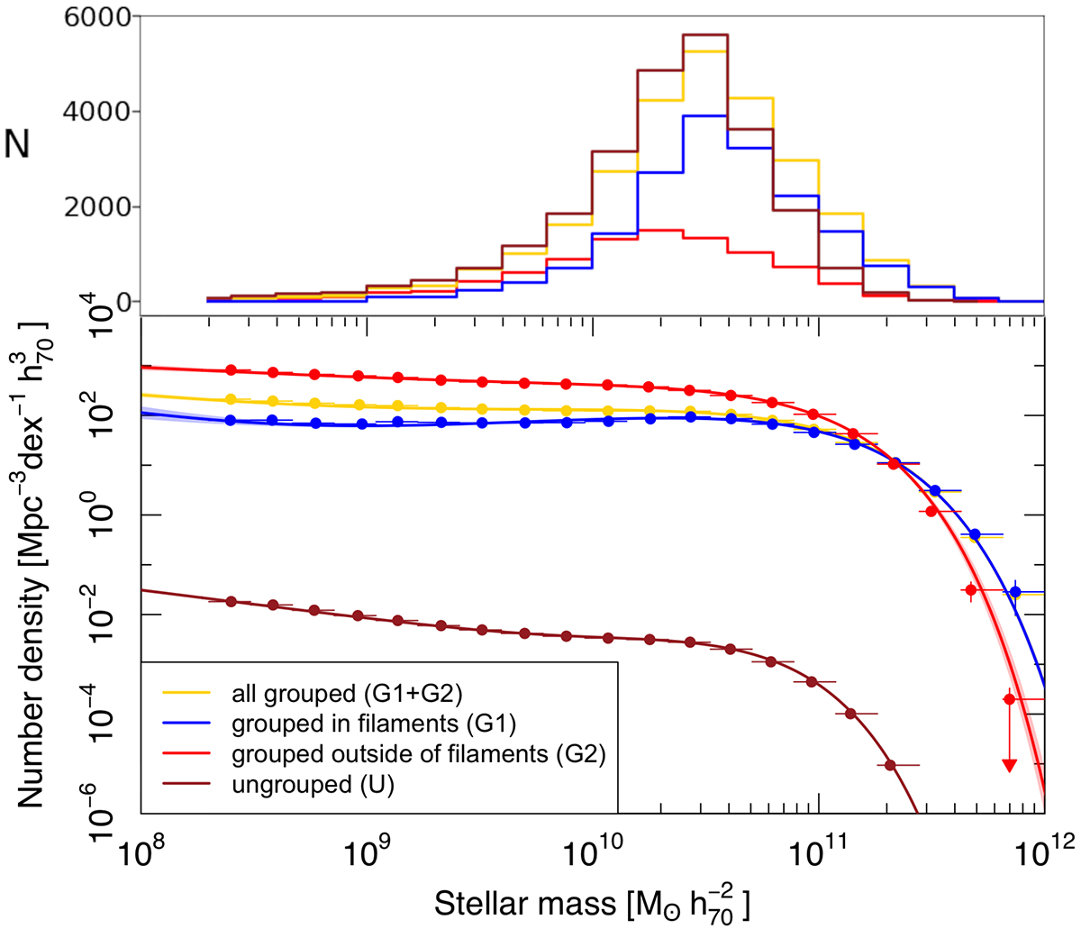
Lower panel: cGSMFs of grouped and ungrouped galaxies, as indicated in the legend. The grouped galaxies have further been subdivided into those that are part of a filament and those that are not. We note that our total group sample occupies a volume of just ∼2.4 × 102 Mpc 3 h 70 3 $ ^{3}\,h_{70}^{-3} $. This explains why the cGSMFs of grouped and ungrouped galaxies differ by ∼4 orders of magnitude. Upper panel: Raw number of galaxies as a function of stellar mass in each sample, as indicated.

Current usage metrics show cumulative count of Article Views (full-text article views including HTML views, PDF and ePub downloads, according to the available data) and Abstracts Views on Vision4Press platform.

Data correspond to usage on the plateform after 2015. The current usage metrics is available 48-96 hours after online publication and is updated daily on week days.

Initial download of the metrics may take a while.