Open Access

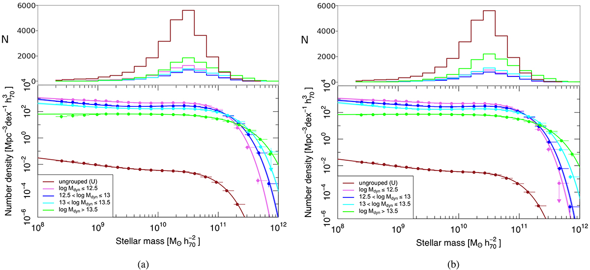
Fig. 13.

image

Download original image

Lower panels: cGSMFs of the group galaxy subsample colour-coded by Mdyn as indicated in the legend. In panel (a), we use the MassA calibration factor, while in panel (b) we use the MassAfunc factor. For comparison, the cGSMF of the ungrouped galaxies is also shown in brown. Upper panels: Raw number of galaxies as a function of stellar mass in each sample, as indicated.

Current usage metrics show cumulative count of Article Views (full-text article views including HTML views, PDF and ePub downloads, according to the available data) and Abstracts Views on Vision4Press platform.

Data correspond to usage on the plateform after 2015. The current usage metrics is available 48-96 hours after online publication and is updated daily on week days.

Initial download of the metrics may take a while.