Open Access

Fig. 16.

image

Download original image

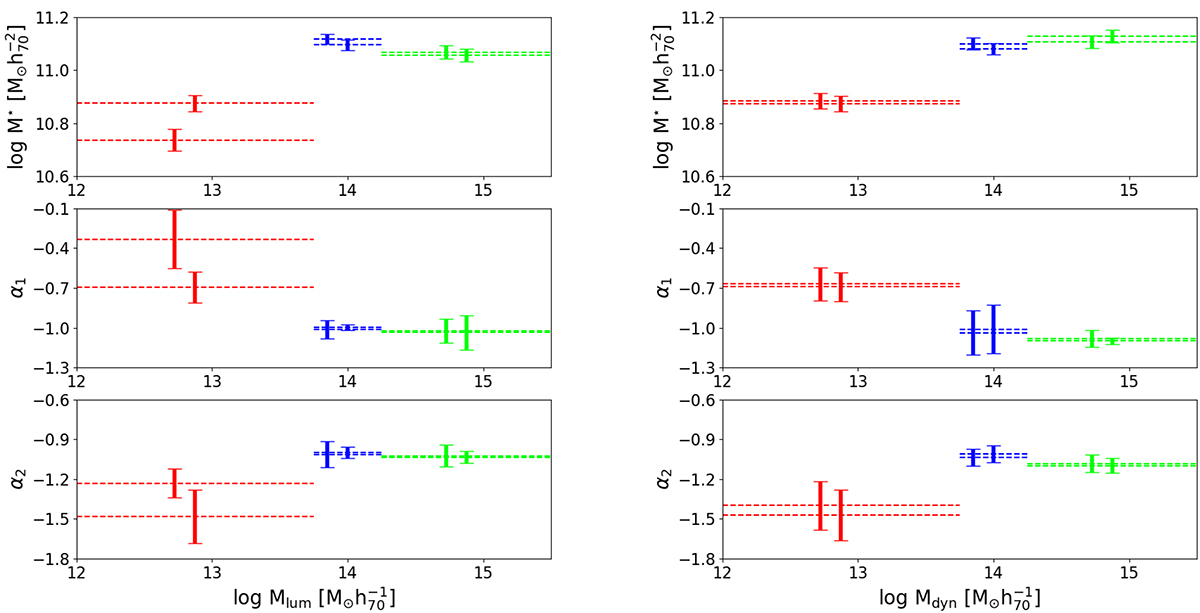
Best-fit double Schechter function parameters of the cGSMFs shown in Fig. 15 using the same colour-coding by Mlum (left) or Mdyn (right). For clarity, the vertical error bars corresponding to the LumB (left) and MassA (right) estimators have been slightly offset to the left.

Current usage metrics show cumulative count of Article Views (full-text article views including HTML views, PDF and ePub downloads, according to the available data) and Abstracts Views on Vision4Press platform.

Data correspond to usage on the plateform after 2015. The current usage metrics is available 48-96 hours after online publication and is updated daily on week days.

Initial download of the metrics may take a while.