Open Access

Fig. 8.

image

Download original image

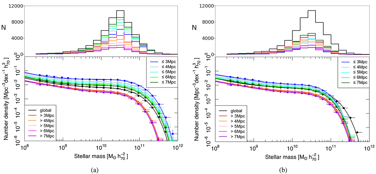
Lower panels: cGSMFs in voids and filaments colour-coded by filament radius (as indicated in the legend). In panel (a), we use our entire galaxy sample, while in panel (b) we discard all the grouped galaxies from our filament samples. Our global GSMF is also shown in black. Upper panels: Raw number of galaxies as a function of stellar mass in each sample, as indicated.

Current usage metrics show cumulative count of Article Views (full-text article views including HTML views, PDF and ePub downloads, according to the available data) and Abstracts Views on Vision4Press platform.

Data correspond to usage on the plateform after 2015. The current usage metrics is available 48-96 hours after online publication and is updated daily on week days.

Initial download of the metrics may take a while.