Open Access

Fig. 7.

image

Download original image

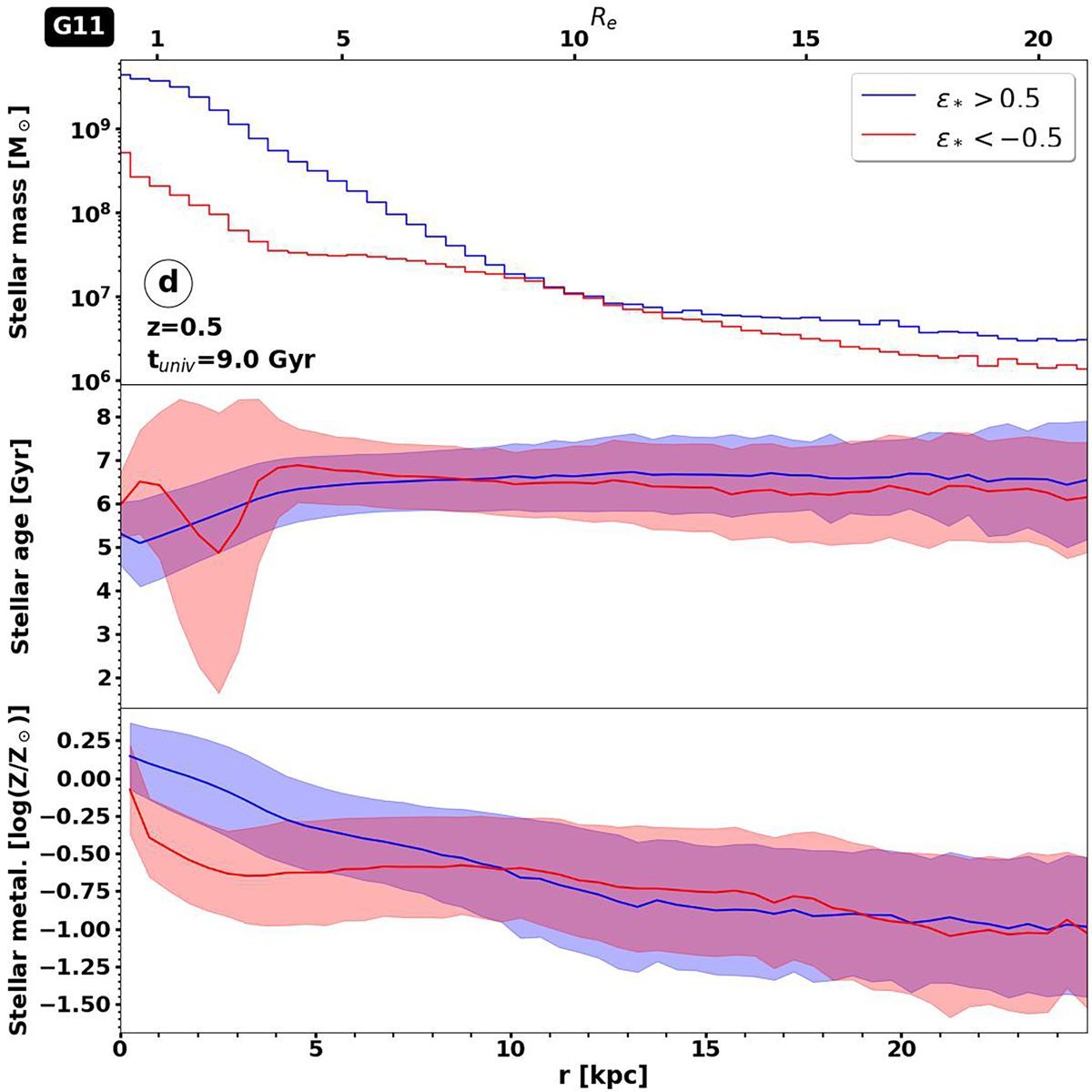
Three-dimensional radial distributions of the mass (upper panel), age (middle panel), and metallicity (lower panel) of stars with circularity parameters satisfying ϵ* > 0.5 (blue lines) ϵ* < −0.5 (red lines) for G11 at z = 0.5 (epoch &#Xtextcircled;d). We also plot at the top the corresponding scale with respect to the effective radius. Shaded areas indicate the dispersion. Epoch &#Xtextcircled;d happens 1.2 Gyr after the total removal of the pre-existing disk at &#Xtextcircled;c. During this time, the star formation is very low, and the new stars mainly formed at the interface of the inner disk and the new accreted one. This explains the “V-shape” seen in the distribution of the stellar age of counter-rotating stars within 5 kpc.

Current usage metrics show cumulative count of Article Views (full-text article views including HTML views, PDF and ePub downloads, according to the available data) and Abstracts Views on Vision4Press platform.

Data correspond to usage on the plateform after 2015. The current usage metrics is available 48-96 hours after online publication and is updated daily on week days.

Initial download of the metrics may take a while.