Open Access

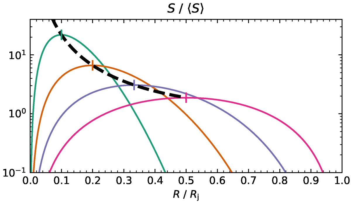
Fig. C.1.

image

Download original image

Solid coloured lines show examples of model radial profiles across a cylindrical jet of radius Rj of momentum flux density S(R) (defined by Eq. C.1) normalised by the mean value ⟨ S⟩ (Eq. C.2) for p = 2 and different values of q (corresponding to Rpeak/Rj = 1/10, 1/5, 1/3, 1/2). The thick dashed line shows the enhancement factor fS = Speak/⟨ S⟩ (Eq. C.3) as function of Rpeak/Rj.

Current usage metrics show cumulative count of Article Views (full-text article views including HTML views, PDF and ePub downloads, according to the available data) and Abstracts Views on Vision4Press platform.

Data correspond to usage on the plateform after 2015. The current usage metrics is available 48-96 hours after online publication and is updated daily on week days.

Initial download of the metrics may take a while.