Open Access

Fig. 8.

image

Download original image

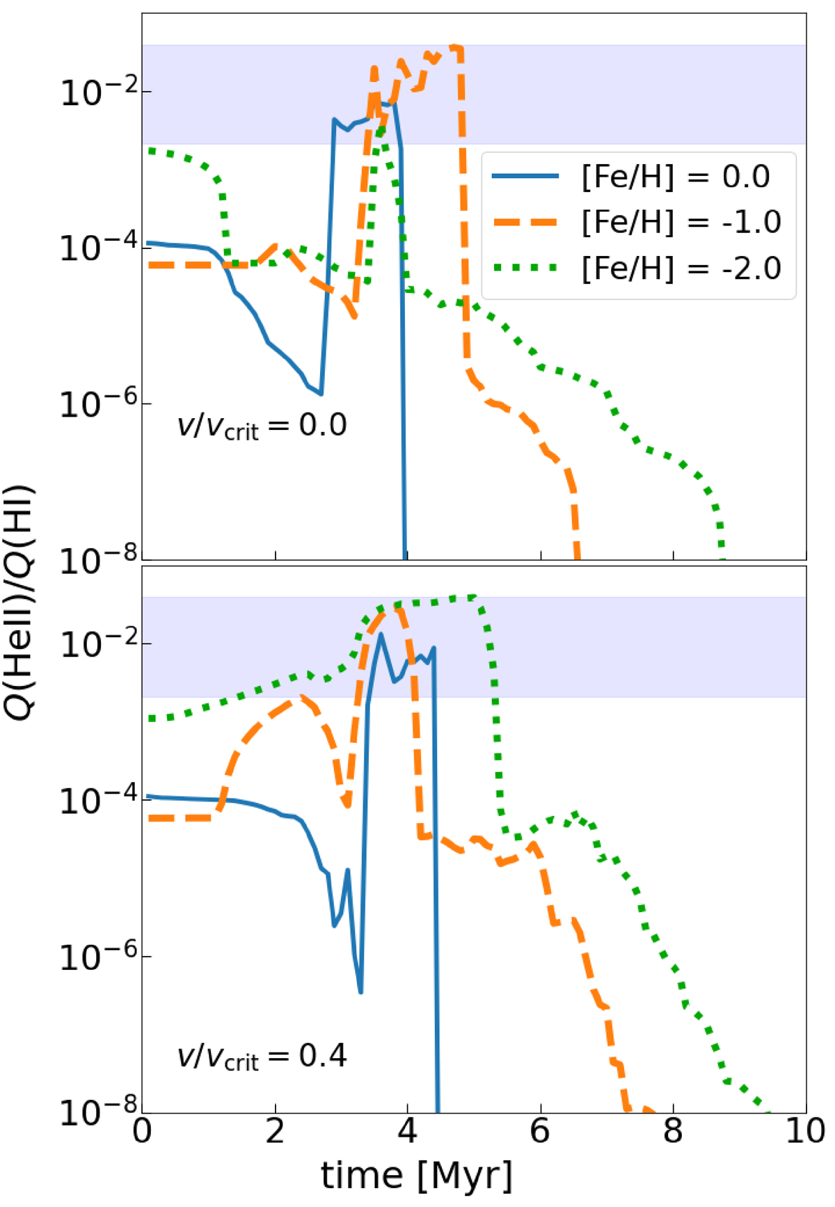
Time evolution of Q(He II)/Q(H I) for non-rotating (top panel) and rotating stars with v/vcrit = 0.4 (bottom panel) for three metallicities, [Fe/H]=0.0 (blue solid line), −1.0 (orange dashed), −2.0 (green dotted), and for highly clumped winds. The blue band shows the approximate range of Q(He II)/Q(H I) ∼ 0.0021 − 0.0371 expected to produce line intensity ratios I(He IIλ4686)/I(Hβ) in the range observed in spatially resolved observations of the Cartwheel Galaxy (Mayya et al. 2023), ≈0.004 − 0.07.

Current usage metrics show cumulative count of Article Views (full-text article views including HTML views, PDF and ePub downloads, according to the available data) and Abstracts Views on Vision4Press platform.

Data correspond to usage on the plateform after 2015. The current usage metrics is available 48-96 hours after online publication and is updated daily on week days.

Initial download of the metrics may take a while.