Open Access

Fig. 2

image

Download original image

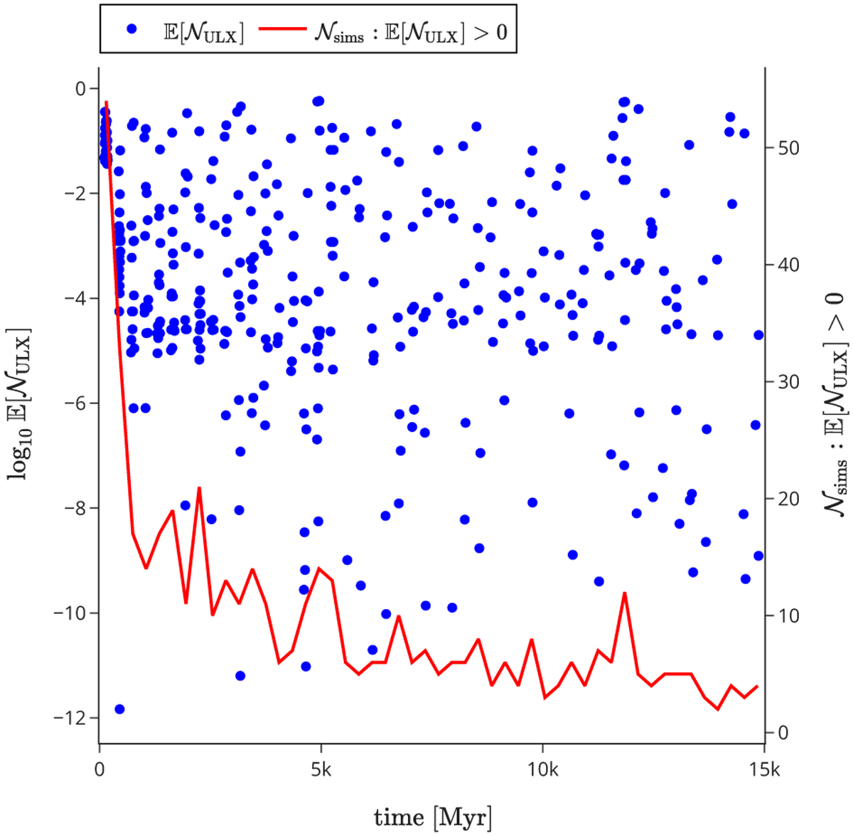
Evolution of ULX numbers in GCs. Expected number of ULXs (E[NULX]) as a function of time since GC formation. All simulations with non-zero expected rates are presented. The line indicates the number of simulations with non-zero predictions (i.e., number of dots in this time bin). Each time bin spans 300 Myr and the points are centered on these bins.

Current usage metrics show cumulative count of Article Views (full-text article views including HTML views, PDF and ePub downloads, according to the available data) and Abstracts Views on Vision4Press platform.

Data correspond to usage on the plateform after 2015. The current usage metrics is available 48-96 hours after online publication and is updated daily on week days.

Initial download of the metrics may take a while.