Open Access

Fig. 6

image

Download original image

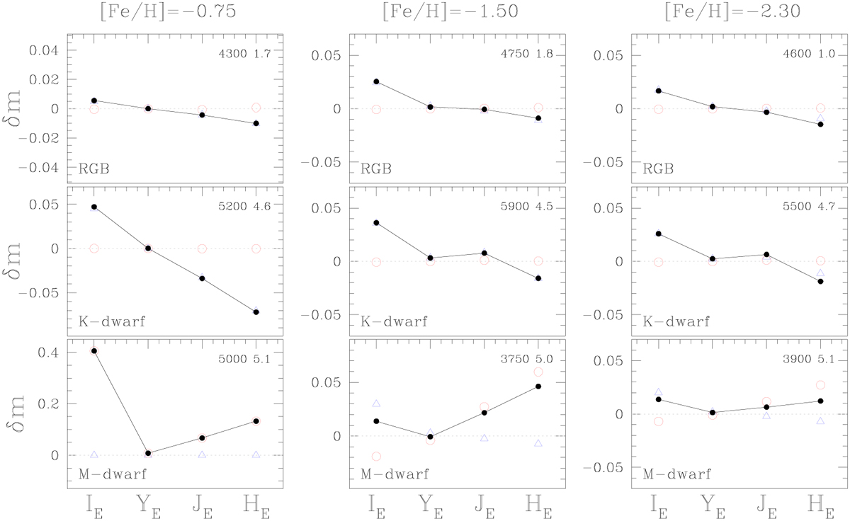
Magnitude difference between a 1P star and a star with the same F115W magnitude and a chemical composition that resembles 2P stars. The azure points correspond to stars with the same chemical composition as 1P stars but enhanced in helium (Y=0.33). The light-red points are derived from spectra that share the same helium content as 1P stars but are enhanced in N and depleted in both C and O. Left, middle, and right panels show spectra with [Fe/H]=−0.75, −1.50, and −2.30 (Milone et al. 2023a; Ziliotto et al. 2023), respectively. The results for RGB, bright-MS stars, and M -dwarfs are shown in the top, middle, and bottom panel respectively. We display in the top-right corner of – each panel the effective temperature and the logarithm of gravity for 1P spectra.

Current usage metrics show cumulative count of Article Views (full-text article views including HTML views, PDF and ePub downloads, according to the available data) and Abstracts Views on Vision4Press platform.

Data correspond to usage on the plateform after 2015. The current usage metrics is available 48-96 hours after online publication and is updated daily on week days.

Initial download of the metrics may take a while.