Open Access

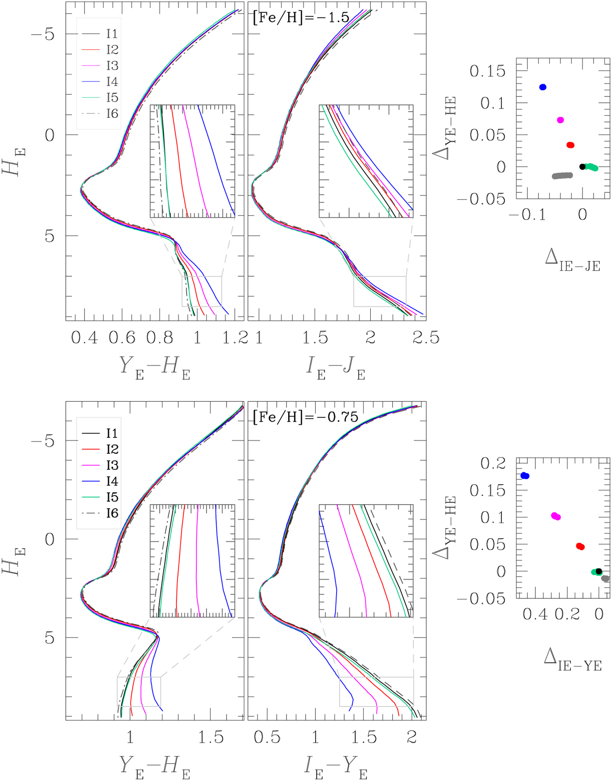
Fig. 8

image

Download original image

Top panels. Isochrones with different contents of helium, carbon, nitrogen, and oxygen in the HE vs. YEHE (left) and HE vs. IEJE (right) CMDs. The right panel shows the ChM for the M-dwarfs highlighted in the insets of the left and middle panels. All isochrones in the top panels have [Fe/H]=−1.5 with the exception of the isochrones I 6, which are enhanced in iron abundance by 0.1 dex with respect to the other isochrones. Bottom panels represent the HE vs. YEHE (left) and HE vs. IEYE (right) CMDs, and the ChM derived from these CMDs for the M-dwarfs plotted in the CMD insets (right). The isochrones I1–I5 in the bottom panels share the same iron to hydrogen ratios, [Fe/H]=−0.75, while isochrones I6 have [Fe/H]=−0.65.

Current usage metrics show cumulative count of Article Views (full-text article views including HTML views, PDF and ePub downloads, according to the available data) and Abstracts Views on Vision4Press platform.

Data correspond to usage on the plateform after 2015. The current usage metrics is available 48-96 hours after online publication and is updated daily on week days.

Initial download of the metrics may take a while.