Open Access

Fig. 1.

image

Download original image

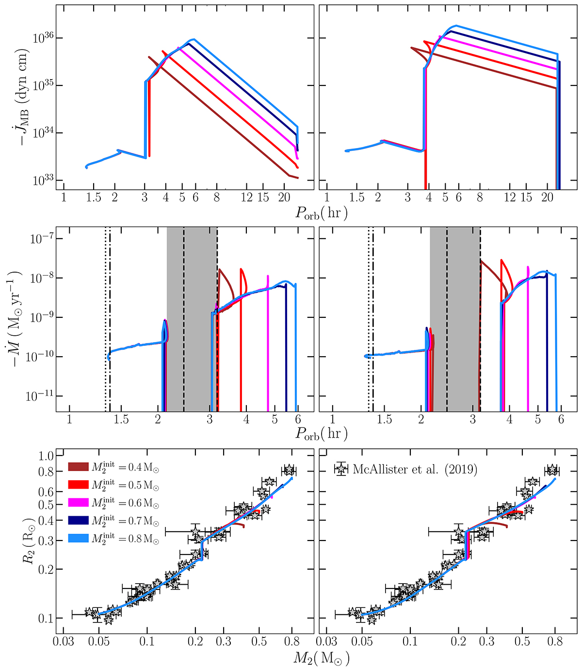
The calibrated SBD magnetic braking prescription can reproduce the period gap for cataclysmic variables. Left panels: Evolution of CV using standard RVJ magnetic braking (Eq. (8)) assuming γ = 3. Right panels: Using SBD magnetic braking (Eq. (7)) assuming K = η = 50 as in Belloni et al. (2024). Angular momentum loss due to magnetic braking (top), mass transfer rate (middle), and the mass-radius relation (bottom) for CVs with different initial donor masses represented by the colors. The boundaries of the period gap derived by Schreiber et al. (2024) are indicated by the dashed lines (at periods of 147 − 191 min) and those estimated by Knigge et al. (2011) as the gray shaded area (covering 129 − 191 min). The period minimum was estimated by Knigge et al. (2011) to be Pmin ≈ 82.4 min (dotted-dashed line) and 79.6 ± 0.2 min (dotted line) by McAllister et al. (2019). In the bottom panels the markers represent the masses and radii of CVs measured by McAllister et al. (2019) and their respective error bars. The initial parameters of our CV models were fixed at MWD = 0.83 M and Porb = 1 d.

Current usage metrics show cumulative count of Article Views (full-text article views including HTML views, PDF and ePub downloads, according to the available data) and Abstracts Views on Vision4Press platform.

Data correspond to usage on the plateform after 2015. The current usage metrics is available 48-96 hours after online publication and is updated daily on week days.

Initial download of the metrics may take a while.