Open Access

Fig. 2.

image

Download original image

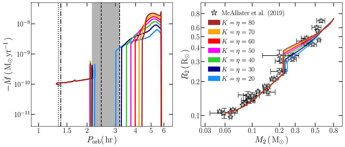
Stronger SBD magnetic braking leads to a longer and earlier detached phase (period gap). The colors represent different values of the SBD magnetic braking parameters K and η assuming that K = η. We set the initial donor mass to M2 = 0.8 M. The black lines and gray area, the initial values for MWD and Porb, and the symbols are the same as in Fig. 1.

Current usage metrics show cumulative count of Article Views (full-text article views including HTML views, PDF and ePub downloads, according to the available data) and Abstracts Views on Vision4Press platform.

Data correspond to usage on the plateform after 2015. The current usage metrics is available 48-96 hours after online publication and is updated daily on week days.

Initial download of the metrics may take a while.