Open Access

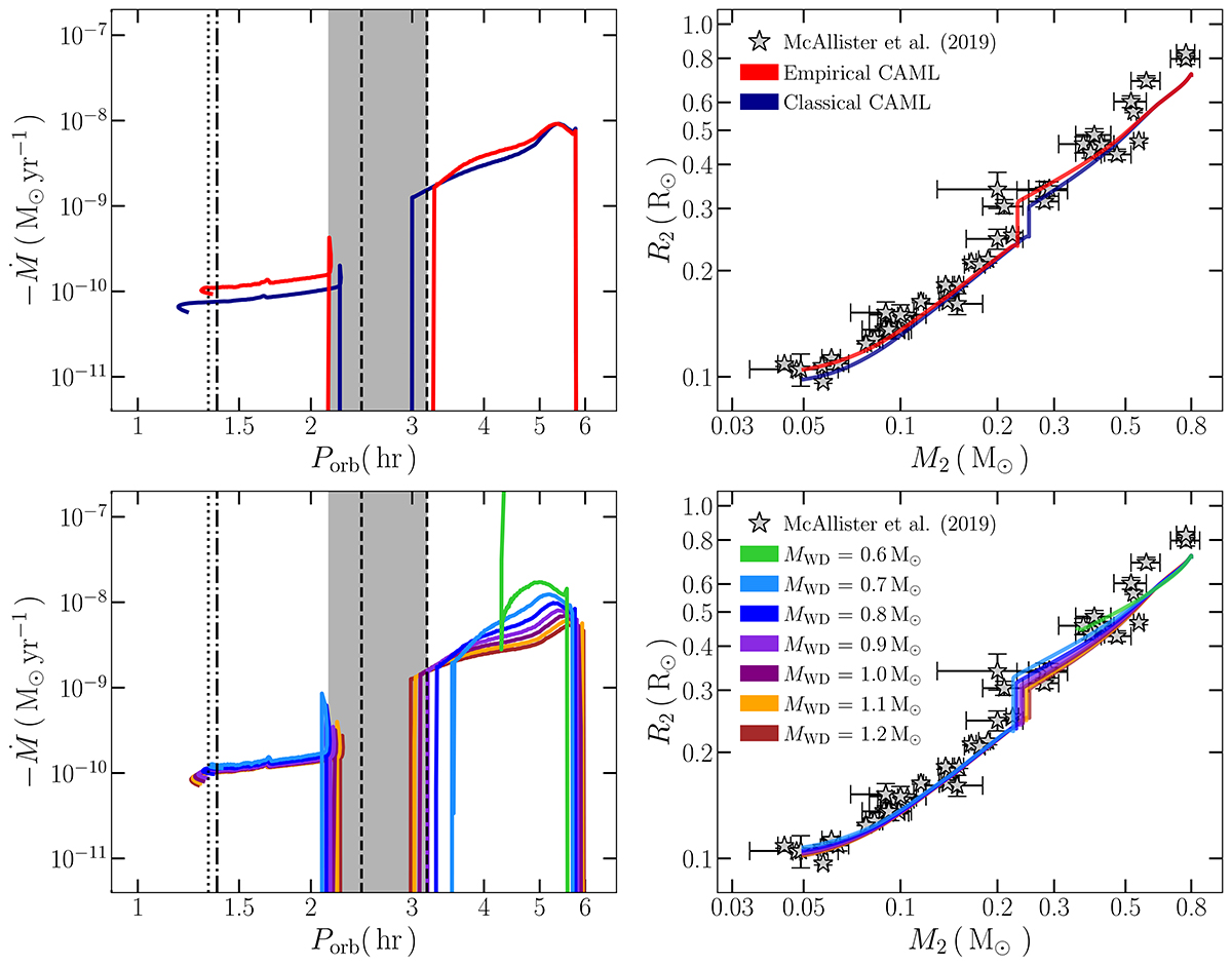
Fig. 4.

image

Download original image

Predictions of the model for different white dwarf masses (bottom panels) and assumed consequential angular momentum (CAML) loss prescriptions (top panels). For the average white dwarf mass in CVs, incorporating eCAML (red) produces an earlier detachment (beginning of the period gap) than assuming classical CAML (top panels). The period range covered by the detached phase decreases for more massive white dwarfs (bottom-left panel). The parameters used to calculate the evolutionary tracks were M2 = 0.8 M, Porb = 1 d, and K = η = 30. Symbols are the same as in Fig. 1.

Current usage metrics show cumulative count of Article Views (full-text article views including HTML views, PDF and ePub downloads, according to the available data) and Abstracts Views on Vision4Press platform.

Data correspond to usage on the plateform after 2015. The current usage metrics is available 48-96 hours after online publication and is updated daily on week days.

Initial download of the metrics may take a while.