Open Access

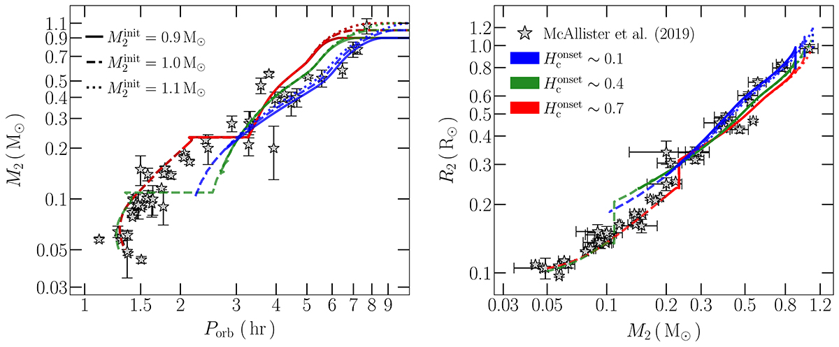
Fig. 5.

image

Download original image

Comparison between predicted (Eq. (7), assuming K = η = 30) and observed (gray stars, McAllister et al. 2019) long-period CV properties: orbital period against donor star mass (left panel) and donor star mass against donor star radius (right). We assumed a white dwarf mass of 0.83 M, considered three different initial donor masses (M2init), namely 0.9 (solid lines), 1.0 (dashed lines), and 1.1 (dot-dashed lines), and chose initial orbital periods leading to three different central hydrogen abundances at the onset of mass transfer ( H c onset $ H_{\mathrm{c}}^{\mathrm{onset}} $), namely ∼0.7 (green lines), ∼0.4 (blue lines), and ∼0.1 (red lines). It is clear from the figure that, regardless of the initial donor mass, the lower the central hydrogen abundance at the onset of mass transfer, the larger the donor star radius. In particular, all long-period systems can be reasonably well explained if the donor star had enough time to evolve that its central hydrogen abundance sufficiently dropped before the onset of mass transfer (i.e., H c onset 0.1 0.2 $ {H_{\mathrm{c}}^{\mathrm{onset}}\lesssim0.1{-}0.2} $).

Current usage metrics show cumulative count of Article Views (full-text article views including HTML views, PDF and ePub downloads, according to the available data) and Abstracts Views on Vision4Press platform.

Data correspond to usage on the plateform after 2015. The current usage metrics is available 48-96 hours after online publication and is updated daily on week days.

Initial download of the metrics may take a while.