Open Access

Fig. 5.

image

Download original image

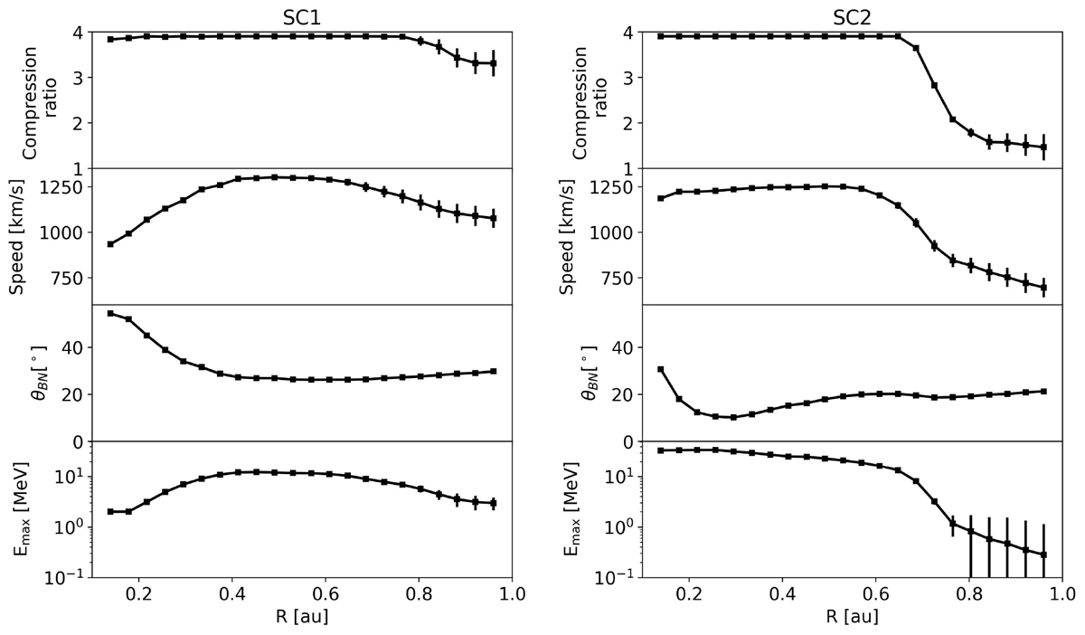
Radial evolution of the shock parameters along the field line connecting to SC1 (Solar Orbiter) and SC2. From top to bottom, we show the shock compression ratio, shock speed, shock obliquity angle, and maximum proton energy. The error bars represent the uncertainty in the field line connection, corresponding to a 2° angular deviation near the observer.

Current usage metrics show cumulative count of Article Views (full-text article views including HTML views, PDF and ePub downloads, according to the available data) and Abstracts Views on Vision4Press platform.

Data correspond to usage on the plateform after 2015. The current usage metrics is available 48-96 hours after online publication and is updated daily on week days.

Initial download of the metrics may take a while.