Open Access

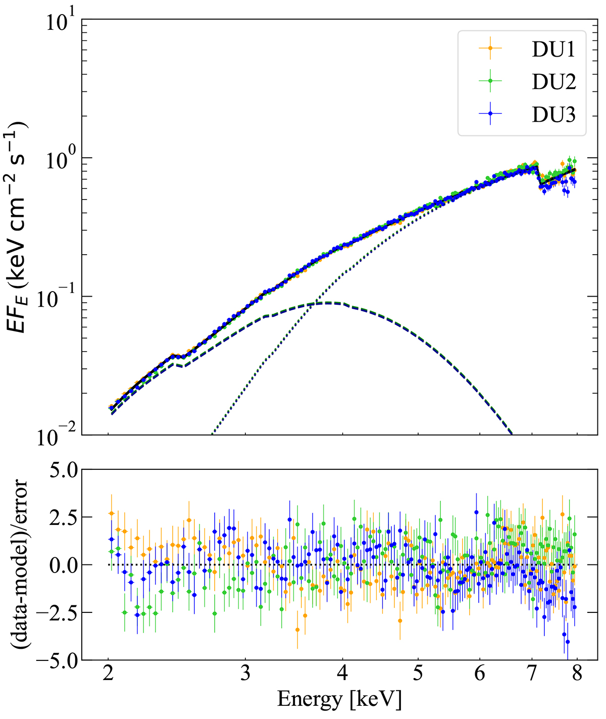
Fig. 1.

image

Download original image

Unfolded energy spectra (Stokes I parameter) of Vela X-1 in EFE representation, using a two-component model fit to the IXPE dataset. The solid, dashed, and dotted lines show the total model spectrum, the thermal bremsstrahlung component, and the power-law component, respectively. The bottom panel shows the fit residuals.

Current usage metrics show cumulative count of Article Views (full-text article views including HTML views, PDF and ePub downloads, according to the available data) and Abstracts Views on Vision4Press platform.

Data correspond to usage on the plateform after 2015. The current usage metrics is available 48-96 hours after online publication and is updated daily on week days.

Initial download of the metrics may take a while.