Open Access

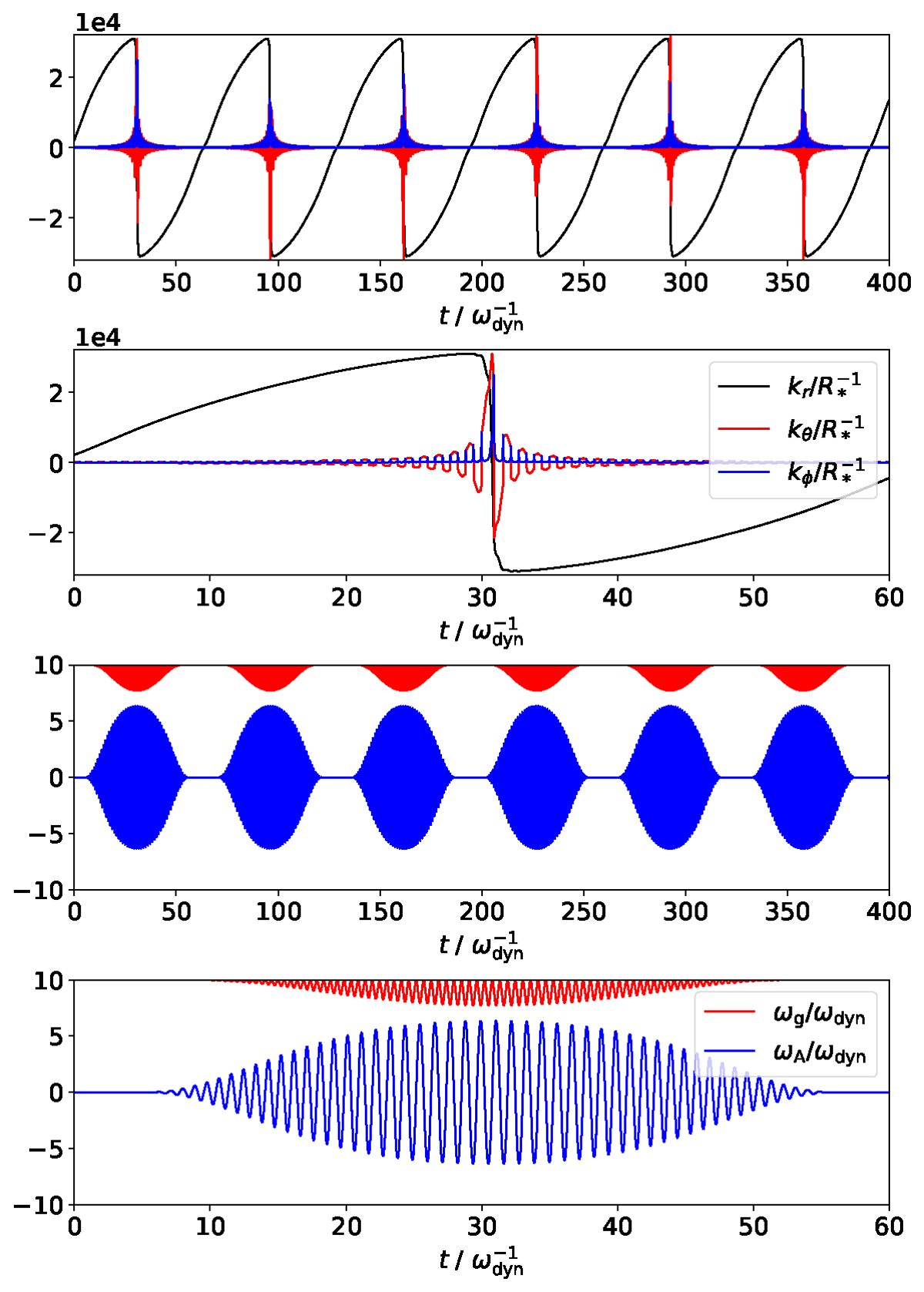
Fig. A.6.

image

Download original image

Reproduction of Figure 4 of Loi (2020b) using our implementation of the ray tracing described in Sect. 2 but with synthetic N and ρ profiles (see Appendix A.6 for details). Since θ0 and α are not stated by Loi (2020b), they have been chosen manually (θ0 = 11.0° and α = 81.0°). The remaining initial parameters are identical to Loi (2020b) (i.e., r0 = 0.04 R*, rf = 0.01 R*, Bcen = Bcrit, cen, ω = 10 ωdyn, and l = 1).

Current usage metrics show cumulative count of Article Views (full-text article views including HTML views, PDF and ePub downloads, according to the available data) and Abstracts Views on Vision4Press platform.

Data correspond to usage on the plateform after 2015. The current usage metrics is available 48-96 hours after online publication and is updated daily on week days.

Initial download of the metrics may take a while.