Open Access

Fig. 5.

image

Download original image

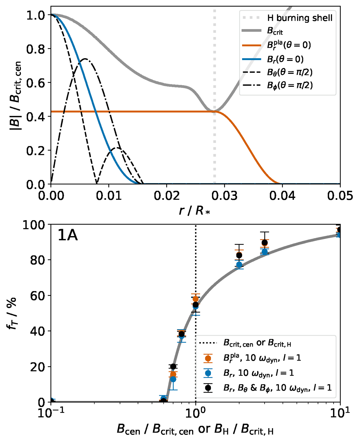
Top: Normalized critical field strength as a function of radius. We also show the maximum absolute value of the three components of the Prendergast field (see Sect. 2.2), which is scaled to Bcen = Bcrit, cen. Furthermore, we show the radial component of an improvised magnetic field that has a plateau and scales with the critical field strength at the hydrogen-burning shell Bcrit, H. The strength of the improvised field at the hydrogen-burning shell is set to BH = Bcrit, H. The hydrogen-burning shell is indicated by the vertical dotted line. Bottom: Trapped fraction as a function of the central field strength or the field strength at the hydrogen-burning shell for model 1A with ω = 10 ωdyn and l = 1. The black symbols correspond to the case where all components of the Prendergast field are taken into account. They are the same as the black symbols in the top panel of Fig. B.1. The blue symbols indicate that only the radial component of the Prendergast field has been used and the other components were set to zero. The red symbols correspond to magnetic field featuring the plateau that is scaled by Bcrit, H instead of Bcrit, cen. The dotted line marks either Bcrit, cen or Bcrit, H. The line connecting the symbols is the fit to the trapped fraction (Eq. (13)).

Current usage metrics show cumulative count of Article Views (full-text article views including HTML views, PDF and ePub downloads, according to the available data) and Abstracts Views on Vision4Press platform.

Data correspond to usage on the plateform after 2015. The current usage metrics is available 48-96 hours after online publication and is updated daily on week days.

Initial download of the metrics may take a while.