Open Access

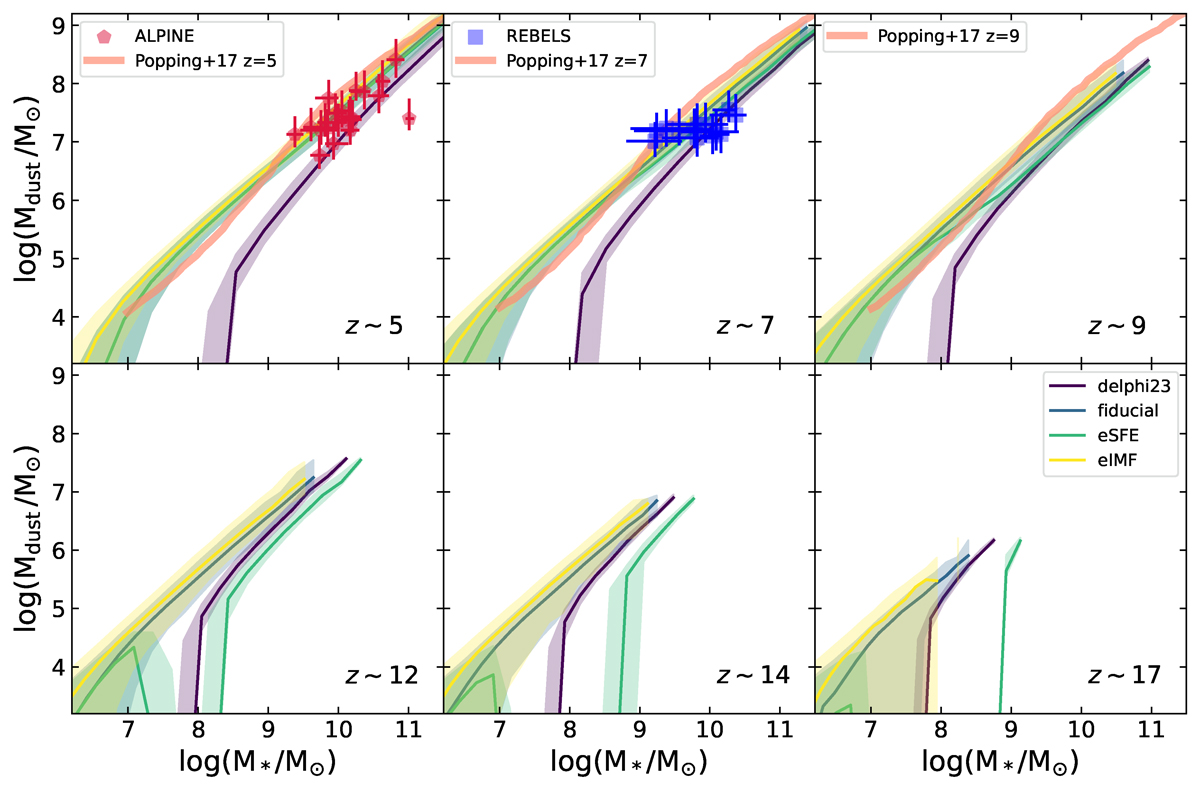
Fig. 10.

image

Download original image

Evolution of the dust mass as a function of stellar mass at z ∼ 5 − 17 for the different models studied in this work, as marked. Lines represent the mean of the five runs with different seeds for each model; shaded areas represent the range between the minima and maxima shown by the 16th and 84th percentiles, respectively. Points show observational results from the ALPINE survey (Fudamoto et al. 2020) at z ∼ 5 and from the REBELS survey (Bouwens et al. 2022a) at z ∼ 7, as marked. The thick salmon lines in the first three panels show theoretical results from Popping et al. (2017).

Current usage metrics show cumulative count of Article Views (full-text article views including HTML views, PDF and ePub downloads, according to the available data) and Abstracts Views on Vision4Press platform.

Data correspond to usage on the plateform after 2015. The current usage metrics is available 48-96 hours after online publication and is updated daily on week days.

Initial download of the metrics may take a while.