Open Access

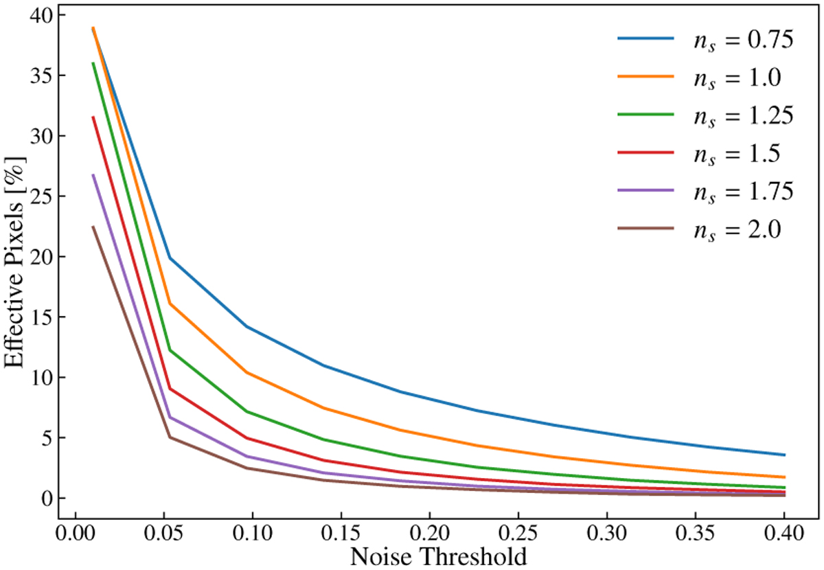
Fig. A.1

image

Download original image

Effective number of pixels as a function of noise threshold. The different curves correspond to a galaxy with fixed flux, shape, and size but varying ns. The noise threshold is calculated with respect to the peak flux of the galaxy.

Current usage metrics show cumulative count of Article Views (full-text article views including HTML views, PDF and ePub downloads, according to the available data) and Abstracts Views on Vision4Press platform.

Data correspond to usage on the plateform after 2015. The current usage metrics is available 48-96 hours after online publication and is updated daily on week days.

Initial download of the metrics may take a while.