Open Access

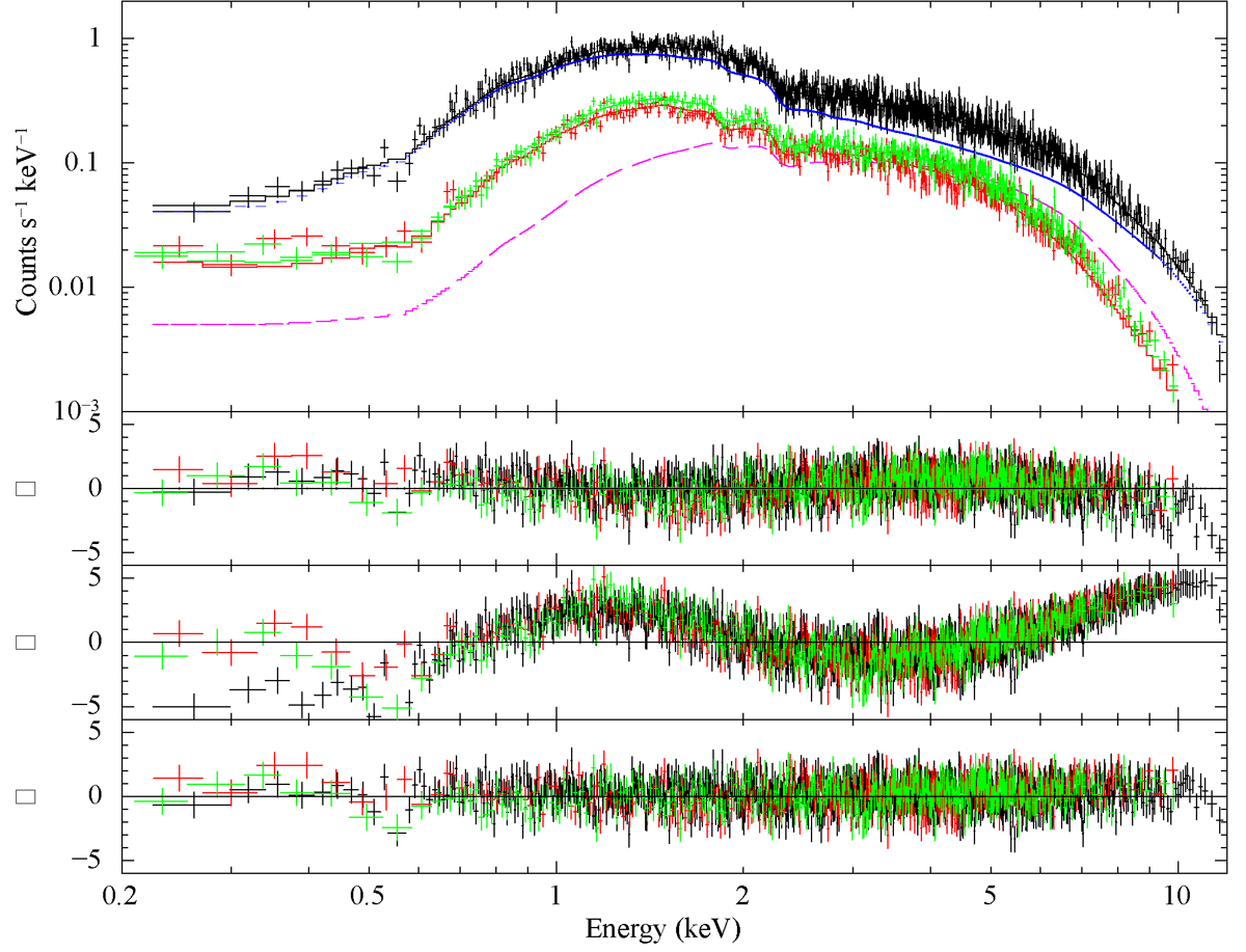
Fig. 4.

image

Download original image

Time-averaged spectrum of 4U 0728-25, where the black, red, and green symbols represent the pn, MOS1, and MOS2 data, respectively. Upper panel: superposition of the best-fitting PL + BB model, for the pn spectrum only, with the EPIC spectra. Middle panels: residuals (in units of σ) between data and model in the case of the single PL and of the single BB. Bottom panel: residuals in the case of the PL + BB.

Current usage metrics show cumulative count of Article Views (full-text article views including HTML views, PDF and ePub downloads, according to the available data) and Abstracts Views on Vision4Press platform.

Data correspond to usage on the plateform after 2015. The current usage metrics is available 48-96 hours after online publication and is updated daily on week days.

Initial download of the metrics may take a while.