Open Access

Fig. 1.

image

Download original image

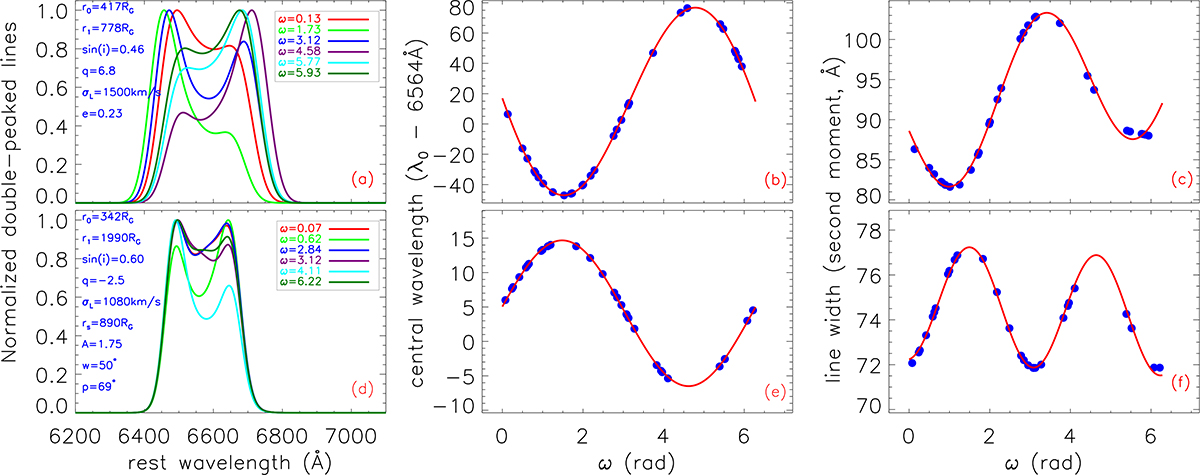
Panel (a): Examples of the simulated double-peaked broad emission lines in different phases according to the elliptical accretion disk model. The solid lines in different colors show the line profiles in different phases with different orientation angles ω, as shown in the legend in the top right corner. Panels (b) and (c): Dependence of the first moment λ0 and the second moment σ on the orientation angle ω for the case shown in panel (a). The solid blue circles show the λ0 and σ calculated through simulated results with 30 randomly collected values of ω, and the solid red line shows the best descriptions of λ0(ω) and σ(ω) based on applications of a sine function plus a linear trend. Panels (d), (e), and (f): Corresponding results according to the circular accretion disk plus arms model.

Current usage metrics show cumulative count of Article Views (full-text article views including HTML views, PDF and ePub downloads, according to the available data) and Abstracts Views on Vision4Press platform.

Data correspond to usage on the plateform after 2015. The current usage metrics is available 48-96 hours after online publication and is updated daily on week days.

Initial download of the metrics may take a while.