Open Access

Fig. A.1.

image

Download original image

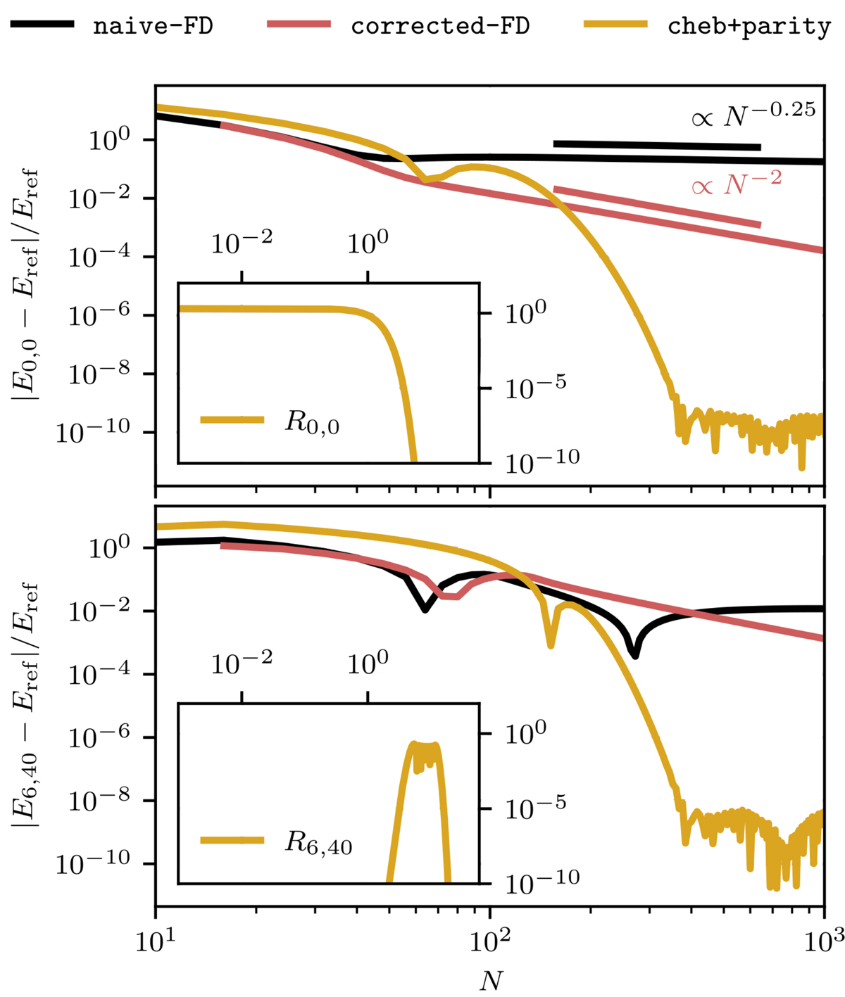
Convergence of the numerically computed eigenvalues Enl  =  E0, 0 (top) and Enl  =  E40, 6 (bottom) for three different discretization schemes. We find naive-FD, effective in the halo case, to show strongly degraded convergence properties under cylindrical symmetry. While the ad hoc corrected finite difference scheme (see text) recovers quadratic convergence, it is outperformed by the exponential convergence of the parity aware Chebyshev pseudospectral approach cheb-parity, which is the method of choice for this work. Insets: High-resolution (N = 4096) reference modes Rnl, the eigenvalue of which is used as Eref.

Current usage metrics show cumulative count of Article Views (full-text article views including HTML views, PDF and ePub downloads, according to the available data) and Abstracts Views on Vision4Press platform.

Data correspond to usage on the plateform after 2015. The current usage metrics is available 48-96 hours after online publication and is updated daily on week days.

Initial download of the metrics may take a while.