Open Access

Fig. 4.

image

Download original image

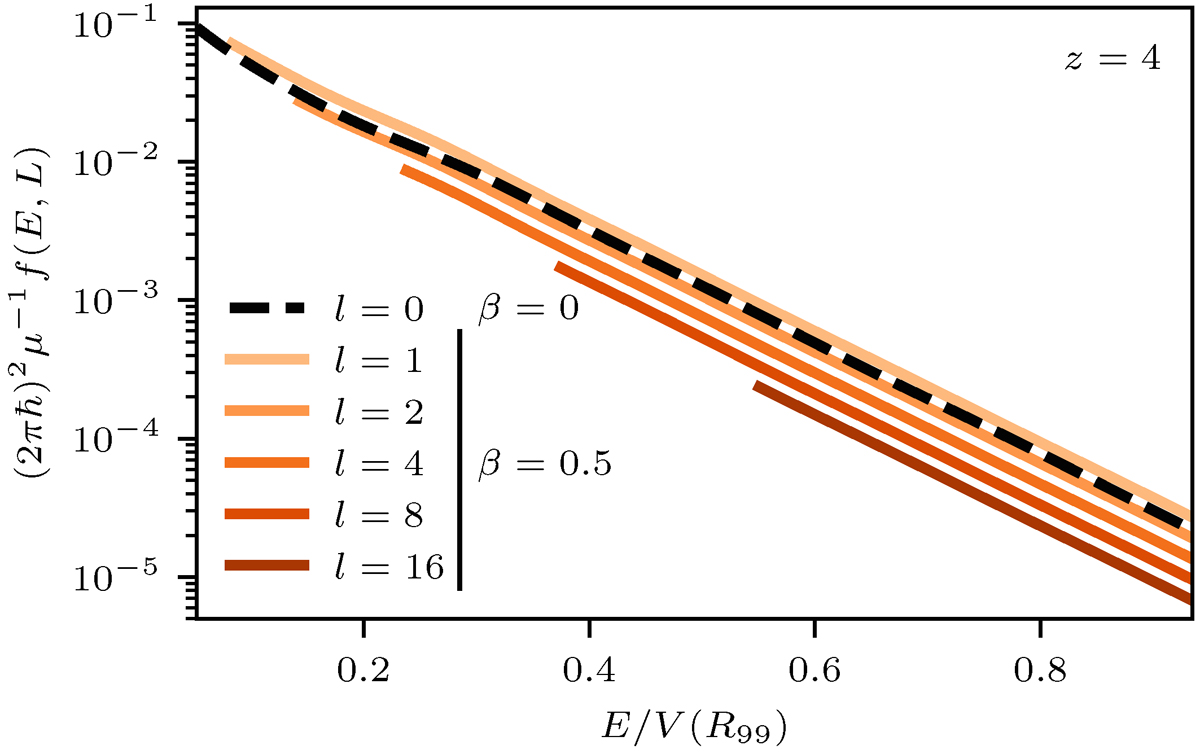
Recovered DFs for the densities depicted in Fig. 3 for various values of the specific angular momentum L = l × ℏm−1. Note that (i) we only show L = 0 for β = 0 as the DF is uniform in L for isotropic conditions, cf. Eq. (16), (ii) energies are bound from below by Ec(L), the energy of a circular orbit defined as the minimum of the effective potential V(R)+L2/2a2R2 and (iii) both DFs recover a Boltzmann-like, exponential behavior in E. We emphasize that this functional behavior is not imposed by our inversion of Eq. (17).

Current usage metrics show cumulative count of Article Views (full-text article views including HTML views, PDF and ePub downloads, according to the available data) and Abstracts Views on Vision4Press platform.

Data correspond to usage on the plateform after 2015. The current usage metrics is available 48-96 hours after online publication and is updated daily on week days.

Initial download of the metrics may take a while.