Open Access

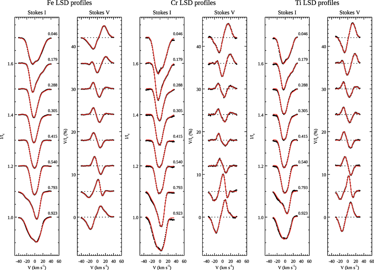
Fig. A.2.

image

Download original image

Comparison of the observed (symbols) and best-fitting ZDI model (solid lines) LSD Stokes I and V profiles of HD 57372. The figure shows three pairs of profiles, for Fe, Cr, and Ti. For each pair, the left panel corresponds to Stokes I and the right to Stokes V. The data for different observing nights are offset vertically, with the rotational phases indicated next to each Stokes I profile.

Current usage metrics show cumulative count of Article Views (full-text article views including HTML views, PDF and ePub downloads, according to the available data) and Abstracts Views on Vision4Press platform.

Data correspond to usage on the plateform after 2015. The current usage metrics is available 48-96 hours after online publication and is updated daily on week days.

Initial download of the metrics may take a while.